2003031116-李忍-python数据分析第三周作业-numpy的简单操作
| 项目 | 内容 |
| 课程班级博客链接 | https://edu.cnblogs.com/campus/pexy/20sj |
| 这个作业要求链接 | https://edu.cnblogs.com/campus/pexy/20sj/homework/12540 |
| 博客名称 | 2003031116-李忍-python数据分析第三周作业-numpy的简单操作 |
| 要求 | 每道题要有题目,代码(使用插入代码,不会插入代码的自己查资料解决,不要直接截图代码!!),截图(只截运行结果) |
题目一:扩展阅读心得体会
1、扩展阅读:Python3及pip、numpy、Matplotlib等模块的安装
前学期我们就已经安装过Python3及pip、numpy、Matplotlib等模块的安装,因为课本上都有相关的操作步骤,在加上老师的提醒,很容易就能安装上,并且已经做过一些相关的练习,所以对这些模块也有一些认识。pip是一个安装和管理Python包的工具,检验是否成功安装的方法:在python命令行输入import numpy as np将不再报错,模块就安装成功了,利用pip模块安装Matplotlib,在cmd中,键入pip install Matplotlib来安装Matplotlib包,matplotlib主要用来创建图形,多与numpy一起使用。
2.扩展阅读:Numpy常用方法
numpy代码简洁,以数组和矩阵为操作对象,支持大量数学函数。可以用numpy简单创建数组,查看数组属性,包括数组元素个数、形状、维度、元素类型,用numpy创建随机数组(均匀分布、正态分布),还有很重要的numpy的计算(条件运算、统计运算、数组运算、矩阵运算),虽然课本上已经学过一些相关用法,但自己操作还不是很熟练,还需要多加练习。
题目二
实训一:
1.训练要点
(1)掌握Nuympy的数组的创建及随机数的生成。
(2)掌握Nuympy中用于统计分析的基本运算函数。
2.需求说明
Numpy数组在数值运算方面的效率优于python提供的list,所以灵活掌握numpy中数组的创建以及基础的运算是有必要的。
3.实现思路及步骤
(1)创建一个数值范围为0~1,间隔为0.01的数组。
(2)创建100个服从正态分布的随机数。
(3)对创建的两个数组进行四则运算。
(4)对创建的随机数组进行简单的统计分析。
4.运行结果及截图
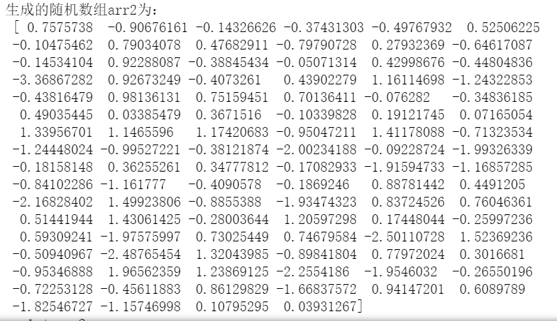
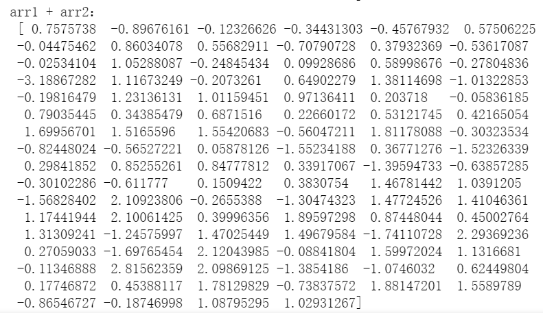
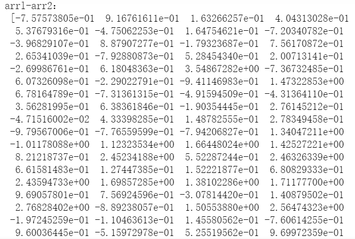
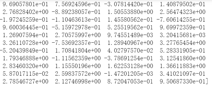
import numpy as np #1、创建一个数值范围为0~1,间隔为0.01的数组 arr1=np.arange(0,1,0.01) print("arange函数创建的数值范围为0~1间隔为0.01的数组arr1为:\n",arr1) #2、创建由100个服从正态分布的随机数构成的数组 arr2=np.random.randn(100) print('生成的随机数组arr2为:\n',arr2) #3、对创建的两个数组进行四则运算 print('arr1 + arr2:\n',arr1+arr2) print('arrl-arr2:\n',arr1-arr2) print('arrl*arr2:\n',arr1*arr2) print('arrl/arr2:\n',arr1/arr2) #print('arrl**arr2:\n',arr1**arr2) #4、对创建的数组进行简单的统计分析 print('正态分布数数组的累计和为:\n',np.cumsum(arr2))#计算所有元素的累计和 print('正态分布数去重后的值组为:\n',np.unique(arr2))#去除重复值 print('正态分布数组的均值为:',np.mean(arr2))#计算数组均值 print('正态分布数组的标准差为:',np.std(arr2))#计算数组标准差 print('正态分布数组的方差为:',np.var(arr2))#计算数组方差 print('正态分布数组的最小值为:',np.min(arr2))#计算最小值 print('正态分布数组的最大值为:',np.max(arr2))#计算最大值 print('正态分布数组的总和为:',np.sum(arr2))#计算数组总和










实训2 创建一个国际象棋的棋盘
1,训练要点
(1)掌握矩阵创建方法。
(2)掌握数组索引的方法。
2.需求说明
创建国际象棋棋盘,填充8*8矩阵。国际象棋棋盘是个正方形,由横纵向各8格、颜色一深一浅交错排列的64个小方格组成,深色格为黑格,浅色格为白格,棋子就在这些格子中移动,如图所示。

3.实验思路及步骤
(1)创建一个8*8矩阵。
(2)把1、3、5、7行和2、4、6列的元素设置为1。
4.运行代码及截图
import numpy as np matr1=np.ones((8,8)) for i in range(8): for j in range(8): if(i+j)%2==0: matr1[i,j]=0 print('国际棋盘对应的矩阵为:\n',matr1) for i in range(0,8): for j in range(0,8): if matr1[i,j]==0: print("□",end=' ') else: print("■", end=' ') print('\n')


浙公网安备 33010602011771号