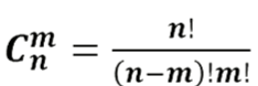
根据公式直接计算:

因为有除法取模,所以要逆元,要预处理求阶乘,和阶乘相对应的模逆元
阶乘很好求,阶乘逆元先算n!的逆元,然后再逆推回去,时间复杂度O(n)

#include <iostream>
#include <vector>
#define ll long long
using namespace std;
const int MOD = 1e9 + 7;
const int MAX_N = 100000;
ll quick_pow(ll base, ll exp, ll mod) {
ll result = 1;
base %= mod;
while (exp > 0) {
if (exp % 2 == 1) {
result = (result * base) % mod;
}
base = (base * base) % mod;
exp /= 2;
}
return result;
}
ll combination(int n, int k) {
if (k < 0 || k > n) return 0;
if (k == 0 || k == n) return 1;
vector<ll> f(n + 1, 1);
vector<ll> g(n + 1, 1);
for (int i = 1; i <= n; ++i) {
f[i] = (f[i - 1] * i) % MOD;
}
g[n] = quick_pow(f[n], MOD - 2, MOD);
for (int i = n - 1; i >= 0; --i) {
g[i] = (g[i + 1] * (i + 1)) % MOD;
}
return (f[n] * g[k] % MOD) * g[n - k] % MOD;
}
int main() {
int n, k;
cin >> n >> k;
ll result = combination(n, k);
return 0;
}