方法和前面的求约数个数类似
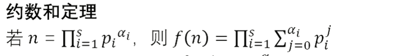
首先明确约数和定理

然后分为两种情况,一种是i能被p[i]整除,一种是不能,然后注意这里的区别,如果能被整除,那么i包含m的所有质因数且p[j]为m的最小质因数,且m只在p[j]的次数上比i多了一次
然后根据这个来进行各种判断
using namespace std;
const int N = 1000010;
int p[N], vis[N], cnt;
//g[i]表示i的最小质因子的1+p^1+...+p^k
int g[N], f[N];//f[i]表示i的约数和
void get_f(int n){ //筛法求约数和
g[1] = f[1] = 1;
for(int i=2; i<=n; i++){
if(!vis[i]){
p[++cnt] = i;
g[i] = f[i] = i+1;
}
for(int j=1; i*p[j]<=n; j++){
int m = i*p[j];
vis[m] = 1;
if(i%p[j] == 0){
g[m] = g[i]*p[j]+1;
f[m] = f[i]/g[i]*g[m];
break;
}
else{
g[m] = p[j]+1;
f[m] = f[i]*g[m];
}
}
}
}
int main(){
int n;
cin >> n;
get_f(n);
for(int i=1; i<=n; i++)
printf("%d\n",f[i]);
return 0;
}
