软件工程第二次作业
(1)请从语句覆盖、判定覆盖、条件覆盖、判定/条件覆盖、条件组合覆盖五个覆盖标准中(条件组合覆盖难度较大,鼓励尝试,但请谨慎选择),任选一个标准设计测试用例
(2)请利用自动测试工具对程序进行测试
(3)请将程序运行结果和自动测试分析结果截图粘贴到文档中
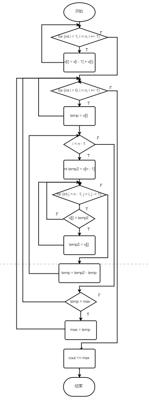
1.语句覆盖

如图所示,用例[(-1,4,5,9,-1,-9),(18)]可以覆盖语句
2.使用opencppcoverage测试,
{{uploading-image-501460.png(uploading...)}}
测试结果如图,结果表明所有语句都被用例覆盖。
3.

运行结果如图

浙公网安备 33010602011771号