Latex多行公式大括号如何排版?
前言
用Latex写论文时,用公式是很重要的一个部分。
Latex的公式系统非常完善,并且排版整洁美观。
其中比较复杂的是多行公式中的大括号。
实现细节
需要使用\begin{equation}和\begin{cases}标签的组合
注意:确认文档开头用了
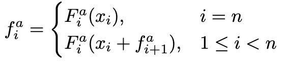
例如要实现这个效果

对应的Latex代码:
\begin{equation}
f_{i}^{a}=
\begin{cases}
F_{i}^{a}(x_{i}), &i = n
\\
F_{i}^{a}(x_{i}+f_{i + 1}^{a}), &1\leq i < n
\end{cases}
\label{eq8}
\end{equation}
其中,\\符号用来换行,&符号是用来控制多行对齐的。
注意:
确认文档开头用了\usepackage{amsmath}这个包
如果没用这个包,那同样的代码出来的效果就是失败的
(无法换行):
![]()
The End
技术之外,欢迎关注我认知成长的公众号 :零度的成长记录
ji
浙公网安备 33010602011771号