学习笔记三十四:文件上传攻击简述
文件上传漏洞可以说是日常渗透测试当中用的最多的一个漏洞,因为用它获得服务器权限最快最直接。但是想真正把这个漏洞利用好却并不容易,其中有很多技巧,也有很多需要掌握的知识。俗话说,知己知彼方能百战不殆,因此想要研究怎么防护漏洞,就要了解怎么去利用。
特点:
- 利用简单,就是很多情况下无需再配合其他的漏洞
- 危害大,就是一旦攻击成功我们就可以拿到webshell,直接就能控制网站
产生原因:
网站对用户上传的文件缺少必要的校验
找文件上传点(关键):
- 管理后台页面
- 用户后台页面,包括头像上传还有其他上传也是上传点
- 前台页面
- 目录扫描 => 扫描到后台不需要登陆就能访问的上传页面
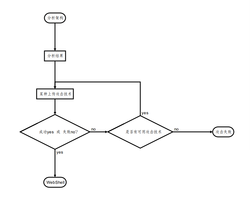
测试思维和流程:
测试思维:
根据已有信息,条件分析目标网站架构,再以此架构为基础,从我们已经掌握的知识中过滤出适合此架构的攻击方法。
测试流程:
思想指挥行动,在思想指导下落实行动。
1.分析目标架构
看网站使用后端语言,中间件,目标服务器类型,版本等
2.根据分析结果使用已有手段依次测试。

浙公网安备 33010602011771号