会员
众包
新闻
博问
闪存
赞助商
HarmonyOS
Chat2DB
所有博客
当前博客
我的博客
我的园子
账号设置
会员中心
简洁模式
...
退出登录
注册
登录
BlueValentines
慢慢来,一切都会好起来的
博客园
首页
新随笔
联系
管理
订阅
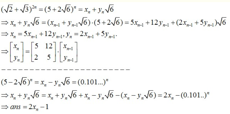
hdu2256-矩阵构造+快速幂(未完)
posted @
2020-07-27 00:05
BlueValentines
阅读(
55
) 评论(
0
)
收藏
举报
刷新页面
返回顶部
公告