会员
众包
新闻
博问
闪存
赞助商
HarmonyOS
Chat2DB
所有博客
当前博客
我的博客
我的园子
账号设置
会员中心
简洁模式
...
退出登录
注册
登录
lijfustc
导航
博客园
首页
新随笔
联系
订阅
管理
公告
程序员的数学-20220520 欧式距离
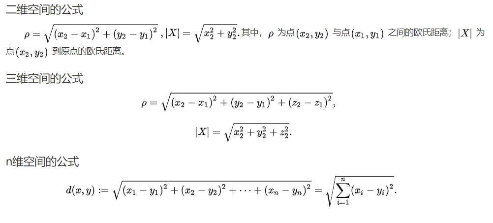
1、欧式距离计算公式
2、修正的欧氏距离
3、有权重的欧氏距离
4、修正权重的方法
5、带有权重的欧式距离公式
6、欧氏距离的局限
posted on
2022-05-20 17:07
lijfustc
阅读(
52
) 评论(
0
)
收藏
举报
刷新页面
返回顶部