685. 冗余连接 II
在本问题中,有根树指满足以下条件的 有向 图。该树只有一个根节点,所有其他节点都是该根节点的后继。该树除了根节点之外的每一个节点都有且只有一个父节点,而根节点没有父节点。
输入一个有向图,该图由一个有着 n 个节点(节点值不重复,从 1 到 n)的树及一条附加的有向边构成。附加的边包含在 1 到 n 中的两个不同顶点间,这条附加的边不属于树中已存在的边。
结果图是一个以边组成的二维数组 edges 。 每个元素是一对 [ui, vi],用以表示 有向 图中连接顶点 ui 和顶点 vi 的边,其中 ui 是 vi 的一个父节点。
返回一条能删除的边,使得剩下的图是有 n 个节点的有根树。若有多个答案,返回最后出现在给定二维数组的答案。

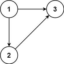
输入:edges = [[1,2],[1,3],[2,3]]
输出:[2,3]
> 代码
class Solution {
private:
static const int N = 1001; // 如题:二维数组大小的在3到1000范围内
int father[N];
int n; // 边的数量
// 并查集初始化
void init() {
for (int i = 1; i <= n; ++i) {
father[i] = i;
}
}
// 并查集里寻根的过程
int find(int u) {
return u == father[u] ? u : father[u] = find(father[u]);
}
// 将v->u 这条边加入并查集
void join(int u, int v) {
u = find(u);
v = find(v);
if (u == v) return ;
father[v] = u;
}
// 判断 u 和 v是否找到同一个根
bool same(int u, int v) {
u = find(u);
v = find(v);
return u == v;
}
// 在有向图里找到删除的那条边,使其变成树
vector<int> getRemoveEdge(const vector<vector<int>>& edges) {
init(); // 初始化并查集
for (int i = 0; i < n; i++) { // 遍历所有的边
if (same(edges[i][0], edges[i][1])) { // 构成有向环了,就是要删除的边
return edges[i];
}
join(edges[i][0], edges[i][1]);
}
return {};
}
// 删一条边之后判断是不是树
bool isTreeAfterRemoveEdge(const vector<vector<int>>& edges, int deleteEdge) {
init(); // 初始化并查集
for (int i = 0; i < n; i++) {
if (i == deleteEdge) continue;
if (same(edges[i][0], edges[i][1])) { // 构成有向环了,一定不是树
return false;
}
join(edges[i][0], edges[i][1]);
}
return true;
}
public:
vector<int> findRedundantDirectedConnection(vector<vector<int>>& edges) {
int inDegree[N] = {0}; // 记录节点入度
n = edges.size(); // 边的数量
for (int i = 0; i < n; i++) {
inDegree[edges[i][1]]++; // 统计入度
}
vector<int> vec; // 记录入度为2的边(如果有的话就两条边)
// 找入度为2的节点所对应的边,注意要倒序,因为优先返回最后出现在二维数组中的答案
for (int i = n - 1; i >= 0; i--) {
if (inDegree[edges[i][1]] == 2) {
vec.push_back(i);
}
}
// 处理图中情况1 和 情况2
// 如果有入度为2的节点,那么一定是两条边里删一个,看删哪个可以构成树
if (vec.size() > 0) {
if (isTreeAfterRemoveEdge(edges, vec[0])) {
return edges[vec[0]];
} else {
return edges[vec[1]];
}
}
// 处理图中情况3
// 明确没有入度为2的情况,那么一定有有向环,找到构成环的边返回就可以了
return getRemoveEdge(edges);
}
};

浙公网安备 33010602011771号