684. 冗余连接(并查集 )
树可以看成是一个连通且 无环 的 无向 图。
给定往一棵 n 个节点 (节点值 1~n) 的树中添加一条边后的图。添加的边的两个顶点包含在 1 到 n 中间,且这条附加的边不属于树中已存在的边。图的信息记录于长度为 n 的二维数组 edges ,edges[i] = [ai, bi] 表示图中在 ai 和 bi 之间存在一条边。
请找出一条可以删去的边,删除后可使得剩余部分是一个有着 n 个节点的树。如果有多个答案,则返回数组 edges 中最后出现的那个。
示例 1:

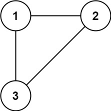
输入: edges = [[1,2], [1,3], [2,3]]
输出: [2,3]
> 代码
class Solution {
private:
int n = 1001; // 节点数量3 到 1000
vector<int> father = vector<int> (n, 0); // C++里的一种数组结构
// 并查集初始化
void init() {
for (int i = 0; i < n; ++i) {
father[i] = i;
}
}
// 并查集里寻根的过程
int find(int u) {
return u == father[u] ? u : father[u] = find(father[u]);
}
// 判断 u 和 v是否找到同一个根
bool isSame(int u, int v) {
u = find(u);
v = find(v);
return u == v;
}
// 将v->u 这条边加入并查集
void join(int u, int v) {
u = find(u);
v = find(v);
if (u == v) return ;
father[v] = u;
}
public:
vector<int> findRedundantConnection(vector<vector<int>>& edges) {
init();
for (int i = 0; i < edges.size(); i++) {
if (isSame(edges[i][0], edges[i][1])) return edges[i];
else join(edges[i][0], edges[i][1]);
}
return {};
}
};

浙公网安备 33010602011771号