337. 打家劫舍 III
小偷又发现了一个新的可行窃的地区。这个地区只有一个入口,我们称之为 root 。
除了 root 之外,每栋房子有且只有一个“父“房子与之相连。一番侦察之后,聪明的小偷意识到“这个地方的所有房屋的排列类似于一棵二叉树”。 如果 两个直接相连的房子在同一天晚上被打劫 ,房屋将自动报警。
给定二叉树的 root 。返回 在不触动警报的情况下 ,小偷能够盗取的最高金额 。

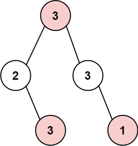
输入: root = [3,2,3,null,3,null,1]
输出: 7
解释: 小偷一晚能够盗取的最高金额 3 + 3 + 1 = 7
> 递归(优化)
class Solution {
public:
unordered_map<TreeNode* , int> umap; // 记录计算过的结果
int rob(TreeNode* root) {
if (root == NULL) return 0;
if (root->left == NULL && root->right == NULL) return root->val;
if (umap[root]) return umap[root]; // 如果umap里已经有记录则直接返回
// 偷父节点
int val1 = root->val;
if (root->left) val1 += rob(root->left->left) + rob(root->left->right); // 跳过root->left
if (root->right) val1 += rob(root->right->left) + rob(root->right->right); // 跳过root->right
// 不偷父节点
int val2 = rob(root->left) + rob(root->right); // 考虑root的左右孩子
umap[root] = max(val1, val2); // umap记录一下结果
return max(val1, val2);
}
};
> 动态规划
class Solution {
public:
int rob(TreeNode* root) {
vector<int> result = robTree(root);
return max(result[0], result[1]);
}
// 长度为2的数组,0:不偷,1:偷
vector<int> robTree(TreeNode* cur) {
if (cur == NULL) return vector<int>{0, 0};
vector<int> left = robTree(cur->left);
vector<int> right = robTree(cur->right);
// 偷cur,那么就不能偷左右节点。
int val1 = cur->val + left[0] + right[0];
// 不偷cur,那么可以偷也可以不偷左右节点,则取较大的情况
int val2 = max(left[0], left[1]) + max(right[0], right[1]);
return {val2, val1};
}
};

浙公网安备 33010602011771号