96. 不同的二叉搜索树
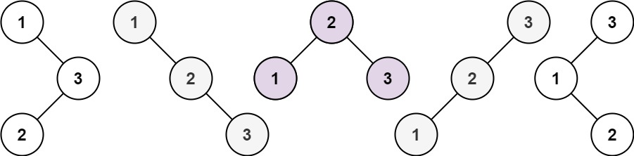
给你一个整数 n ,求恰由 n 个节点组成且节点值从 1 到 n 互不相同的 二叉搜索树 有多少种?返回满足题意的二叉搜索树的种数。

输入:n = 3
输出:5
动态规划
class Solution {
public:
int numTrees(int n) {
int dp[20] = {0};
dp[0] = 1;
dp[1] = 1;
for(int i = 2;i <= n; i++){
for(int left = i - 1, right = 0; left >= 0, right <= i - 1; left--, right++ ){
dp[i] += dp[left]*dp[right];
}
}
return dp[n];
}
};

浙公网安备 33010602011771号