BST(二叉搜索树)的层级遍历 后序遍历 建树
//后序遍历 void inOrder(BST_t* tree) { inOrder1(tree->root); } void inOrder1(TreeNode_t* node) { //边界条件 if (node == NULL) return; //递归公式 inOrder1(node->left); inOrder1(node->right); printf("%c ", node->key); } //层次遍历 void levelOrder(BST_t* tree) { if (tree->root == NULL) return; Queue_t* q = createQueue(); //将根结点入队列 enqueue(q, tree->root); while (!isEmpty(q)) { //出队列 TreeNode_t* newNode = dequeue(q); //遍历该结点 printf("%c ", newNode->key); if (newNode->left != NULL) { enqueue(q, newNode->left); } if (newNode->right != NULL) { enqueue(q, newNode->right); } } } Queue_t* createQueue() { return calloc(1, sizeof(Queue_t)); } void enqueue(Queue_t* q, TreeNode_t* node)//头插法 { if (isFull(q)) { printf("Error:queue is full\n"); exit(1); } TreeNode_t* newcode = calloc(1, sizeof(TreeNode_t)); newcode->key = node->key; newcode->left = node->left; newcode->right = node->right; if (isEmpty(q)) { newcode->next = NULL; q->head = newcode; q->rear = newcode; q->size++; } else { newcode->next = q->head; q->head = newcode; q->size++; } } TreeNode_t* dequeue(Queue_t* q)//尾删法 { if (isEmpty(q)) { printf("Error: queue is emtpy\n"); exit(1); } TreeNode_t* findrear = q->head; if (q->head == q->rear)//是否只有一个结点 { q->head = NULL; q->rear = NULL; q->size--; return findrear; } //找到尾结点前一个节点 while (!(findrear->next == q->rear)) { findrear = findrear->next; } q->rear = findrear; findrear = findrear->next; q->rear->next = NULL; q->size--; return findrear; } bool isEmpty(Queue_t* q) { return q->size == 0; } bool isFull(Queue_t* q) { return q->size == N; } //建树 BST_t* build(char* aftOrder, char* inOrder, int n) { BST_t* tree = create(); //委托 tree->root = build(aftOrder, inOrder, n); return tree; } TreeNode_t* build1(char* aftOrder, char* inOrder, int n) { //边界条件 if (n == 0) return NULL; //递归公式 构建根结点 TreeNode_t* node = malloc(sizeof(TreeNode_t)); if (node == NULL) { printf("Error: malloc failed\n"); exit(1); } int idx = 0; //找到根结点 不管是已知先中序的建树还是已知中后序,第一步都是先找根结点 node->key = aftOrder[n - 1 - idx]; while (inOrder[idx] != node->key) idx++; //构建右子树 node->right = build1(aftOrder + idx, inOrder + 1 + idx, n - idx - 1); //构建左子树 node->left = build1(aftOrder + idx, inOrder + 1 + idx, n - idx - 1); return node; }
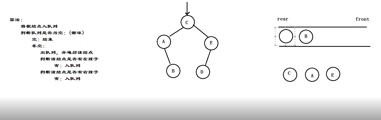
层次遍历图:

头文件内容:
#include <stdbool.h> #include <stdlib.h> #include<stdio.h> #define N 10 //创建一个树结点类型 typedef struct treeNode_s { char key; struct treeNode_s* left; struct treeNode_s* right; struct treeNode_s* next; }TreeNode_t; //创建一个二叉搜索树类型 typedef struct bst_s { struct treeNode_s* root; }BST_t; //建个队列来进行层次遍历 typedef struct queue_s { TreeNode_t* head, * rear; int size; }Queue_t;
// 接口 //BST_t* 类型 因为我们用calloc初始化的话,返回的是指针类型 BST_t* create(); void insert(BST_t* tree, char key); void rm(BST_t* tree, char key); bool search(BST_t* tree, char key); // 遍历 void inOrder(BST_t* tree); void levelOrder(BST_t* tree); // 建树 BST_t* build(char* aftOrder, char* inOrder, int n); char minKey(BST_t* tree); char maxKey(BST_t* tree); void enqueue(Queue_t* q, int val); TreeNode_t* dequeue(Queue_t* q); Queue_t* createQueue(); bool isEmpty(Queue_t* q); bool isFull(Queue_t* q);

浙公网安备 33010602011771号