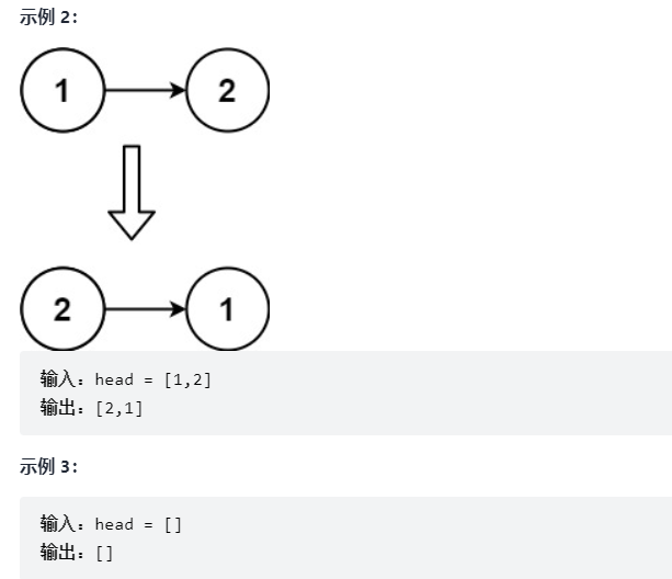
算法 反转链表

 

 

class Solution {
public:
    ListNode* reverseList(ListNode* head) {
        ListNode *p;
        for(p=NULL; head; swap(head,p))
            swap(p,head->next);
        return p;
    }
};

 

posted @ 2022-01-17 14:14  晓风霜度-  阅读(35)  评论(0)    收藏  举报