环形链表(leetcode)
给定一个链表,判断链表中是否有环。
为了表示给定链表中的环,我们使用整数 pos 来表示链表尾连接到链表中的位置(索引从 0 开始)。 如果 pos 是 -1,则在该链表中没有环。
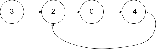
示例 1:
输入:head = [3,2,0,-4], pos = 1 输出:true 解释:链表中有一个环,其尾部连接到第二个节点。


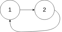
示例 2:
输入:head = [1,2], pos = 0 输出:true 解释:链表中有一个环,其尾部连接到第一个节点。


示例 3:
输入:head = [1], pos = -1 输出:false 解释:链表中没有环。


进阶:
你能用 O(1)(即,常量)内存解决此问题吗?
c++代码:
/** * Definition for singly-linked list. * struct ListNode { * int val; * ListNode *next; * ListNode(int x) : val(x), next(NULL) {} * }; */ class Solution { public: bool hasCycle(ListNode *head) { ListNode *fast=head;//块慢指针法,如果块慢指针相遇,则肯定有环(标准解法) ListNode *slow=head; while(fast != NULL && fast->next != NULL){ fast=fast->next->next; slow=slow->next; if(fast==slow) return true; } return false; } };

浙公网安备 33010602011771号