天池新闻推荐入门赛-TASK01-赛题理解与Baseline代码
目录
前言
此文是作者参加阿里天池与Datawhale联合发起的新闻推荐场景下的用户行为预测挑战赛的一些收获总结,比赛具体内容与赛题见链接:零基础入门推荐系统 - 新闻推荐
一、赛题理解
1.题目简介
赛题以新闻APP中的新闻推荐为背景,要求选手根据用户历史浏览点击新闻文章的数据信息预测用户未来点击行为,即用户的最后一次点击的新闻文章,测试集对最后一次点击行为进行了剔除。通过这道赛题来引导大家了解推荐系统中的一些业务背景,解决实际问题,帮助竞赛新人进行自我练习、自我提高。
2.赛题数据
数据来自新闻APP平台的用户交互数据,包括30万用户,近300万次点击,共36万多篇不同的新闻文章,同时每篇新闻文章有对应的embedding向量表示。
为了保证比赛的公平性,从中抽取20万用户的点击日志数据作为训练集,5万用户的点击日志数据作为测试集A,5万用户的点击日志数据作为测试集B。具体数据表和参数, 可以参考赛题说明。
3.赛题评价方式
根据赛题提供的提交示例文件sample.submit.csv,最后提交的格式是针对每个用户,都给出五篇文章的推荐结果,按照点击概率从前往后排序。 而真实的每个用户最后一次点击的文章只会有一篇的真实答案,所以就看推荐的这五篇里面是否有命中真实答案的。
比如对于user1来说, 我们的提交的对应行是:
user1, article1, article2, article3, article4, article5
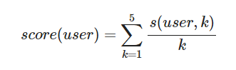
评价指标的公式如下:

比如article1是真实的用户点击文章,也就是article1命中, 则s(user1,1)=1, s(user1,2-4)都是0, 如果article2是用户点击的文章, 则s(user,2)=1,s(user,1,3,4,5)都是0。
即score(user)=命中第几条的倒数。如果都没中, 则score(user1)=0。 这个是合理的, 因为我们希望的就是命中的结果尽量靠前, 而此时分数正好比较高。
4.赛题分析
根据赛题简介,首先要明确此次比赛的目标: 根据用户历史浏览点击新闻的数据信息预测用户最后一次点击的新闻文章。
直接预测用户最后一次点击的新闻文章,可能是一个多分类问题(36万类里面选1),直接这样做会比较困难。根据赛题提供的提交示例可以看出,将任务转换为预测用户最后一次点击各篇文章的概率的问题比较符合赛题要求,也比较容易实现。这样就把原问题变成了一个点击率预测的问题,而这个问题,就是熟悉的监督学习领域分类问题。
二、Baseline
1.Baseline各部分代码
Baseline使用简单的协同过滤,各部分代码如下:
导包
# import packages
import time, math, os
from tqdm import tqdm
import gc
import pickle
import random
from datetime import datetime
from operator import itemgetter
import numpy as np
import pandas as pd
import warnings
import collections
from collections import defaultdict
warnings.filterwarnings('ignore')
设置数据路径和结果保存路径
data_path = './data_raw/'
save_path = './tmp_results/'
df节省内存函数
# 节约内存的一个标配函数
def reduce_mem(df):
starttime = time.time()
numerics = ['int16', 'int32', 'int64', 'float16', 'float32', 'float64']
start_mem = df.memory_usage().sum() / 1024**2
for col in df.columns:
col_type = df[col].dtypes
if col_type in numerics:
c_min = df[col].min()
c_max = df[col].max()
if pd.isnull(c_min) or pd.isnull(c_max):
continue
if str(col_type)[:3] == 'int':
if c_min > np.iinfo(np.int8).min and c_max < np.iinfo(np.int8).max:
df[col] = df[col].astype(np.int8)
elif c_min > np.iinfo(np.int16).min and c_max < np.iinfo(np.int16).max:
df[col] = df[col].astype(np.int16)
elif c_min > np.iinfo(np.int32).min and c_max < np.iinfo(np.int32).max:
df[col] = df[col].astype(np.int32)
elif c_min > np.iinfo(np.int64).min and c_max < np.iinfo(np.int64).max:
df[col] = df[col].astype(np.int64)
else:
if c_min > np.finfo(np.float16).min and c_max < np.finfo(np.float16).max:
df[col] = df[col].astype(np.float16)
elif c_min > np.finfo(np.float32).min and c_max < np.finfo(np.float32).max:
df[col] = df[col].astype(np.float32)
else:
df[col] = df[col].astype(np.float64)
end_mem = df.memory_usage().sum() / 1024**2
print('-- Mem. usage decreased to {:5.2f} Mb ({:.1f}% reduction),time spend:{:2.2f} min'.format(end_mem,
100*(start_mem-end_mem)/start_mem,
(time.time()-starttime)/60))
return df
读取采样或全量数据
# debug模式:从训练集中划出一部分数据来调试代码
def get_all_click_sample(data_path, sample_nums=10000):
"""
训练集中采样一部分数据调试
data_path: 原数据的存储路径
sample_nums: 采样数目(这里由于机器的内存限制,可以采样用户做)
"""
all_click = pd.read_csv(data_path + 'train_click_log.csv')
all_user_ids = all_click.user_id.unique()
sample_user_ids = np.random.choice(all_user_ids, size=sample_nums, replace=False)
all_click = all_click[all_click['user_id'].isin(sample_user_ids)]
all_click = all_click.drop_duplicates((['user_id', 'click_article_id', 'click_timestamp']))
return all_click
# 读取点击数据,这里分成线上和线下,如果是为了获取线上提交结果应该讲测试集中的点击数据合并到总的数据中
# 如果是为了线下验证模型的有效性或者特征的有效性,可以只使用训练集
def get_all_click_df(data_path='./data_raw/', offline=True):
if offline:
all_click = pd.read_csv(data_path + 'train_click_log.csv')
else:
trn_click = pd.read_csv(data_path + 'train_click_log.csv')
tst_click = pd.read_csv(data_path + 'testA_click_log.csv')
all_click = trn_click.append(tst_click)
all_click = all_click.drop_duplicates((['user_id', 'click_article_id', 'click_timestamp']))
return all_click
# 全量训练集
all_click_df = get_all_click_df(offline=False)
获取 用户 - 文章 - 点击时间字典
# 根据点击时间获取用户的点击文章序列 {user1: [(item1, time1), (item2, time2)..]...}
def get_user_item_time(click_df):
click_df = click_df.sort_values('click_timestamp')
def make_item_time_pair(df):
return list(zip(df['click_article_id'], df['click_timestamp']))
user_item_time_df = click_df.groupby('user_id')['click_article_id', 'click_timestamp'].apply(
lambda x: make_item_time_pair(x)) \
.reset_index().rename(columns={0: 'item_time_list'})
user_item_time_dict = dict(zip(user_item_time_df['user_id'], user_item_time_df['item_time_list']))
return user_item_time_dict
获取点击最多的Topk个文章
# 获取近期点击最多的文章
def get_item_topk_click(click_df, k):
topk_click = click_df['click_article_id'].value_counts().index[:k]
return topk_click
itemCF的物品相似度计算
def itemcf_sim(df):
"""
文章与文章之间的相似性矩阵计算
:param df: 数据表
:item_created_time_dict: 文章创建时间的字典
return : 文章与文章的相似性矩阵
思路: 基于物品的协同过滤(详细请参考上一期推荐系统基础的组队学习), 在多路召回部分会加上关联规则的召回策略
"""
user_item_time_dict = get_user_item_time(df)
# 计算物品相似度
i2i_sim = {}
item_cnt = defaultdict(int)
for user, item_time_list in tqdm(user_item_time_dict.items()):
# 在基于商品的协同过滤优化的时候可以考虑时间因素
for i, i_click_time in item_time_list:
item_cnt[i] += 1
i2i_sim.setdefault(i, {})
for j, j_click_time in item_time_list:
if (i == j):
continue
i2i_sim[i].setdefault(j, 0)
i2i_sim[i][j] += 1 / math.log(len(item_time_list) + 1)
i2i_sim_ = i2i_sim.copy()
for i, related_items in i2i_sim.items():
for j, wij in related_items.items():
i2i_sim_[i][j] = wij / math.sqrt(item_cnt[i] * item_cnt[j])
# 将得到的相似性矩阵保存到本地
pickle.dump(i2i_sim_, open(save_path + 'itemcf_i2i_sim.pkl', 'wb'))
return i2i_sim_
i2i_sim = itemcf_sim(all_click_df)
itemCF 的文章推荐
# 基于商品的召回i2i
def item_based_recommend(user_id, user_item_time_dict, i2i_sim, sim_item_topk, recall_item_num, item_topk_click):
"""
基于文章协同过滤的召回
:param user_id: 用户id
:param user_item_time_dict: 字典, 根据点击时间获取用户的点击文章序列{user1: [(item1, time1), (item2, time2)..]...}
:param i2i_sim: 字典,文章相似性矩阵
:param sim_item_topk: 整数, 选择与当前文章最相似的前k篇文章
:param recall_item_num: 整数, 最后的召回文章数量
:param item_topk_click: 列表,点击次数最多的文章列表,用户召回补全
return: 召回的文章列表 [item1:score1, item2: score2...]
注意: 基于物品的协同过滤(详细请参考上一期推荐系统基础的组队学习), 在多路召回部分会加上关联规则的召回策略
"""
# 获取用户历史交互的文章
user_hist_items = user_item_time_dict[user_id] # 注意,此时获取得到的是一个元组列表,需要将里面的user_id提取出来
user_hist_items_ = {user_id for user_id, _ in user_hist_items}
item_rank = {}
for loc, (i, click_time) in enumerate(user_hist_items):
for j, wij in sorted(i2i_sim[i].items(), key=lambda x: x[1], reverse=True)[:sim_item_topk]:
if j in user_hist_items_:
continue
item_rank.setdefault(j, 0)
item_rank[j] += wij
# 不足10个,用热门商品补全
if len(item_rank) < recall_item_num:
for i, item in enumerate(item_topk_click):
if item in item_rank.items(): # 填充的item应该不在原来的列表中
continue
item_rank[item] = - i - 100 # 随便给个负数就行
if len(item_rank) == recall_item_num:
break
item_rank = sorted(item_rank.items(), key=lambda x: x[1], reverse=True)[:recall_item_num]
return item_rank
# 定义
user_recall_items_dict = collections.defaultdict(dict)
# 获取 用户 - 文章 - 点击时间的字典
user_item_time_dict = get_user_item_time(all_click_df)
# 去取文章相似度
i2i_sim = pickle.load(open(save_path + 'itemcf_i2i_sim.pkl', 'rb'))
# 相似文章的数量
sim_item_topk = 10
# 召回文章数量
recall_item_num = 10
# 用户热度补全
item_topk_click = get_item_topk_click(all_click_df, k=50)
for user in tqdm(all_click_df['user_id'].unique()):
user_recall_items_dict[user] = item_based_recommend(user, user_item_time_dict, i2i_sim, sim_item_topk, recall_item_num, item_topk_click)
召回字典转换成df
# 将字典的形式转换成df
user_item_score_list = []
for user, items in tqdm(user_recall_items_dict.items()):
for item, score in items:
user_item_score_list.append([user, item, score])
recall_df = pd.DataFrame(user_item_score_list, columns=['user_id', 'click_article_id', 'pred_score'])
生成提交文件
# 生成提交文件
def submit(recall_df, topk=5, model_name=None):
recall_df = recall_df.sort_values(by=['user_id', 'pred_score'])
recall_df['rank'] = recall_df.groupby(['user_id'])['pred_score'].rank(ascending=False, method='first')
# 判断是不是每个用户都有5篇文章及以上
tmp = recall_df.groupby('user_id').apply(lambda x: x['rank'].max())
assert tmp.min() >= topk
del recall_df['pred_score']
submit = recall_df[recall_df['rank'] <= topk].set_index(['user_id', 'rank']).unstack(-1).reset_index()
submit.columns = [int(col) if isinstance(col, int) else col for col in submit.columns.droplevel(0)]
# 按照提交格式定义列名
submit = submit.rename(columns={'': 'user_id', 1: 'article_1', 2: 'article_2',
3: 'article_3', 4: 'article_4', 5: 'article_5'})
save_name = save_path + model_name + '_' + datetime.today().strftime('%m-%d') + '.csv'
submit.to_csv(save_name, index=False, header=True)
# 获取测试集
tst_click = pd.read_csv(data_path + 'testA_click_log.csv')
tst_users = tst_click['user_id'].unique()
# 从所有的召回数据中将测试集中的用户选出来
tst_recall = recall_df[recall_df['user_id'].isin(tst_users)]
# 生成提交文件
submit(tst_recall, topk=5, model_name='itemcf_baseline')
2.Baseline运行结果
运行Baseline代码得到对50000个用户最后点击5篇文章的概率预测,得到的预测csv文件的一部分如下图所示。

Baseline代码运行得到的预测结果最终在阿里云竞赛中得分为0.1026。

浙公网安备 33010602011771号