C语言程序设计第二次实验报告
实验项目:2.3.3、2.3.4、2.3.5、3.3.1、3.3.2、3.3.3
姓名:李爽
实验地点:家
实验时间:2020.3.10
一、实验目的与要求
目的:1、巩固对字符变量的理解。
2、掌握基本的输入/输出函数的基本功能、调用方法、输入/输出格式控制规定等。
3、掌握结构化程序的算法描述方法。
4、熟练掌握C语言的运算符,即运算符的优先级和结核性、运算规则、运算对象类型等。
5、熟练掌握C语言的顺序结构、循环结构。
要求:1、从键盘输入一个大写字母,要求将其转化成小写字母并输出,同时输出这个小写字母相邻的两个字母,以及它们的ASCII值。
2、从键盘输入一个3位整数,要求输出该数的逆序数。
3、编写一个程序,方便医院收费处出纳算账。
4、输入x值。输出满足函数关系的y的值。
5、根据鸡兔同笼问题,编写程序。
6、坐标与塔高问题。判断坐标是否在塔圆内,输出对应值。
二、实验内容
实验2.3.3
1、问题的简单描述:程序可以编译运行,但无法得到正确结果。
2、实验代码
#include<stdio.h>
main()
{
char a;
printf("输入一个大写字母:\n");
scanf("%c",&a);
printf("小写字母为%c,%c,%c\n",a+31,a+32,a+33);
printf("ASCII值为%d,%d,%d",a+31,a+32,a+33);
}
3、问题分析:scanf()格式有误,将scanf("%c",&a)误写成scanf("%c,&a")。双引号只将<格式控制字符串>括起来。
实验2.3.4
1、问题的简单描述:程序运行时,输入123,无法得到321。
2、实验代码
#include<stdio.h>
int main()
{
int a,b,c,x,y;
printf("请输入一个3位整数:\n");
scanf("%d",&x);
a=x/100; /*求x的百位数*/
b=(x/10)%20; /*求x的十位数*/
c=x%25; /*求x的个位数*/
y=c*100+b*10+a;
printf("%d: %d\n",x,y);
return 0;
}
3、问题分析:该程序是针对256的算法,对其他数无效。
实验2.3.5
1、问题的简单描述:无。
2、实验代码
#include<stdio.h>
int main()
{
float x,j,c,cw,g,f,hj,fk,zh;
/*其中,x代表 西药费;j代表检查费;c代表材料费;cw代表床位费;g代表观察费;
f代表护理费;hj代表应付款;fk代表病人付款额;zh代表应找回的金额;*/
printf("请输入西药费,检查费,材料费,床位费,观察费,护理费:\n");
scanf("%f,%f,%f,%f,%f,%f",&x,&j,&c,&cw,&g,&f);
hj=x+j+c+cw+g+f;
printf("应付款(元):%.2f",hj);
printf("病人付款(元):");
scanf("%f",&fk);
zh=fk-hj;
printf("计算结果:\n");
printf("病人付款=%.2f元\n",fk);
printf("应收款=%.2f元,应找回=%.2f元",hj,zh);
}
3、问题分析:涉及多个变量时,要注意一一对应。注意中英文输入法的切换。
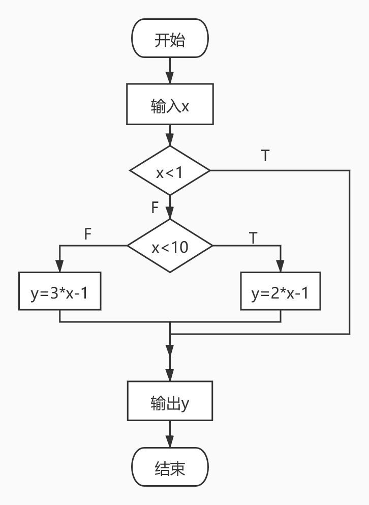
实验3.3.1
1、问题的简单描述:不熟悉if...else结构的运用。
2、实验代码
#include<stdio.h>
void main()
{
float x,y;
printf("输入x的值:");
scanf("%f",&x);
if(x<1)
{
y=x;
}
else if(x<10)
{
y=2*x-1;
}
else
y=3*x-1;
printf("y的值为%.2f\n",y);
}
流程图:
4、问题分析:if和else要配对,它们之间的程序最好都用{}括起来。
实验3.3.2
1、问题的简单描述:运算式有误。
2、实验代码
#include<stdio.h>
int main()
{
int h,f,x,y;
printf("鸡兔总数,鸡兔脚总数:");
scanf("%d,%d",&h,&f);
if(h>0&&f>0)
{
x=(4*h-f)/2;
y=(f-2*h)/2;
printf("鸡有%d 兔有%d\n",x,y);
}
else
printf("输入错误!\n");
}
流程图
3、问题分析:数字与字母之间表示乘积要用“*”,记住不要漏掉。
实验3.3.3
1、问题的简单描述:输出答案有误。
2、实验代码
#include<stdio.h>
#include<math.h>
void main()
{
int h=10;
float x1=2,y1=2,x2=-2,y2=2,x3=-2,y3=-2,x4=2,y4=-2,x,y,d1,d2,d3,d4;
printf("请输入一个点(x,y):");
scanf("%f,%f",&x,&y);
d1=sqrt((x-x1)*(x-x1)+(y-y1)*(y-y1));
d2=sqrt((x-x2)*(x-x2)+(y-y2)*(y-y2));
d3=sqrt((x-x3)*(x-x3)+(y-y3)*(y-y3));
d4=sqrt((x-x4)*(x-x4)+(y-y4)*(y-y4));
if(d1>1&&d2>1&&d3>1&&d4>1)
printf("h=0");
else
printf("h=10");
}
3、简单分析:表达式不完整,将if(d1>1&&d2>1&&d3>1&&d4>1)写成if(d1&&d2&&d3&&d4>1),要注意运算符的正确格式。
三、实验小结
在本次实验中,涉及了较简单的数学运算,熟悉运用了if...else结构及其嵌套结构,巩固了流程图的制作并了解了markdown写法。在与老师同学的讨论中,我学到了很多,也更加知道自己的不足。学习是层层递进的,需要一步一步踏实的走稳,要将基础的知识掌握牢靠。多注意细节,才能更加严谨。

浙公网安备 33010602011771号