AC自动机
AC自动机
例题:AcWing 1282.搜索关键词
给定 n 个长度不超过 50 的由小写英文字母组成的单词,以及一篇长为 m 的文章。
请问,其中有多少个单词在文章中出现了。
思路:
这本质上是一个字符串匹配问题,有三种常用的字符串匹配:
- Trie —— 文章中匹配字符串
- KMP —— 单文本串单模式串匹配
- AC自动机 —— 多文本串单模式串匹配
AC自动机 = Trie + KMP
什么是 AC自动机?
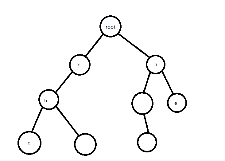
这是一棵 Trie $ \uparrow $

把它加上 \(ne\) 数组 $ \uparrow $
恭喜你,你构造了一个 AC自动机 才怪
如何构造
void build()
{
hh = 0, tt = -1;
for(int i = 0; i < 26; i ++)
if(son[0][i])
q[++ tt] = son[0][i];
while(hh <= tt)
{
int t = q[hh ++];
for(int i = 0; i < 26; i ++)
{
int& p = son[t][i];
if(!p) p = son[ne[t]][i];
else
{
ne[p] = son[ne[t]][i];
q[++ tt] = p;
}
}
}
}
讲完了咳咳,首先,我们要知道 KMP 的构造思路:
从 \(1 \sim n\) 开始,挨个进行找 \(ne\)
so,我们也可以以此类推,一层一层的找 \(ne\)

按绿色一圈一圈找 $ \uparrow $
所以,我们可以用 \(bfs\) 来进行计算 \(ne\) 数组
for(int i = 0; i < 26; i ++)
if(son[0][i])
q[++ tt] = son[0][i];
//将第一层添加入队列中
while(hh <= tt)
{
int t = q[hh ++];//取出队头
for(int i = 0; i < 26; i ++)//枚举
{
int& p = son[t][i];//取别名,简化代码
if(!p) p = son[ne[t]][i];//1
else
{
ne[p] = son[ne[t]][i];//2
q[++ tt] = p;
}
}
}

\(1\):在匹配部分详解
\(2\):如图,\(t\) 在 \(^"h^"\) 处,\(ne_t\) 在绿箭头指向处;
执行 ne[p] = son[ne[t]][i];, \(ne_p\) 指向红箭头处,代表如果在 \(p\) 处不匹配,跳到 \(ne_p\) 处继续匹配
执行 q[++ tt] = p;,将 \(p\) ,或者说 \(son_{t,i}\) 加入候选队列中
如何匹配
现在,我们已经找到了 \(ne\) 数组,下一步就是开始匹配
void doit()
{
int res = 0;
for(int i = 0, j = 0; str[i]; i ++)
{
int t = str[i] - 'a';
j = son[j][t];
int p = j;
while(p && cnt[p] != -1)
{
res += cnt[p];
cnt[p] = -1;
p = ne[p];
}
}
cout << res << "\n";
}
\(i\):文本串上的指针
\(j\):树上的指针
int res = 0;
设置答案初始值
for(int i = 0, j = 0; str[i]; i ++)
循环遍历文本串
int t = str[i] - 'a';
设置当前字符的编号
j = son[j][t];
\(j\) 指向下一个该匹配的字符 (为什么不会匹配失败?)不急,等会讲
int p = j;
while(p && cnt[p] != -1)
{
res += cnt[p];
cnt[p] = -1;
p = ne[p];
}
开始匹配,设置 \(p\) 为临时指针,每一次加上以当前节点结尾的模式串数量, \(cnt_p = -1\) 是为了防止重复, \(p\) 跳到下一个
cout << res << "\n";
输出
回到那个问题,if(!p) p = son[ne[t]][i]; 有什么用以及 j = son[j][t]; 为什么不会匹配失败

在 \(p == 0\) 处,如图,\(\uparrow p\) 本该指向这,可没有,所以连到 \(son_{ne_t, i}\) 上,这样可以让每一个 \(son\) 都有值,解决了匹配失败的问题

code
#include <bits/stdc++.h>
using namespace std;
const int N = 1e4 + 10, M = 1e6 + 10, S = 55;
int ne[N * S], n;
int son[N * S][26], cnt[N * S], idx;
int q[N * S], hh, tt;
char str[M];
void insert()
{
int p = 0;
for(int i = 0; str[i]; i ++)
{
int u = str[i] - 'a';
if(!son[p][u]) son[p][u] = ++ idx;
p = son[p][u];
}
cnt[p] ++;
}
void build()
{
hh = 0, tt = -1;
for(int i = 0; i < 26; i ++)
if(son[0][i])
q[++ tt] = son[0][i];
while(hh <= tt)
{
int t = q[hh ++];
for(int i = 0; i < 26; i ++)
{
int& p = son[t][i];
if(!p) p = son[ne[t]][i];
else
{
ne[p] = son[ne[t]][i];
q[++ tt] = p;
}
}
}
}
void doit()
{
int res = 0;
for(int i = 0, j = 0; str[i]; i ++)
{
int t = str[i] - 'a';
j = son[j][t];
int p = j;
while(p && cnt[p] != -1)
{
res += cnt[p];
cnt[p] = -1;
p = ne[p];
}
}
cout << res << "\n";
}
int main()
{
int T;
cin >> T;
while(T --)
{
memset(ne, 0, sizeof ne);
memset(cnt, 0, sizeof cnt);
memset(son, 0, sizeof son);
idx = 0;
cin >> n;
for(int i = 1; i <= n; i ++)
{
cin >> str;
insert();
}
build();
cin >> str;
doit();
}
return 0;
}

浙公网安备 33010602011771号