删除排序链表中的重复元素
83. 删除排序链表中的重复元素
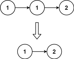
给定一个已排序的链表的头 head , 删除所有重复的元素,使每个元素只出现一次 。返回 已排序的链表 。
示例 1:

输入:head = [1,1,2]
输出:[1,2]
解法1 双指针
class Solution {
public ListNode deleteDuplicates(ListNode head) {
ListNode i = head;
ListNode j = head;
while (j != null) {
while (j != null &&j.val == i.val) {
j = j.next;
}
i.next = j;
i = j;
}
return head;
}
}

浙公网安备 33010602011771号