删除链表的倒数第 N 个结点
19. 删除链表的倒数第 N 个结点
给你一个链表,删除链表的倒数第 n 个结点,并且返回链表的头结点。
示例 1:

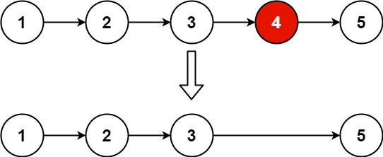
输入:head = [1,2,3,4,5], n = 2
输出:[1,2,3,5]
示例 2:
输入:head = [1], n = 1
输出:[]
示例 3:
输入:head = [1,2], n = 1
输出:[1]
提示:
链表中结点的数目为 sz
1 <= sz <= 30
0 <= Node.val <= 100
1 <= n <= sz
进阶:你能尝试使用一趟扫描实现吗?
解法1 快慢指针
class Solution {
public ListNode removeNthFromEnd(ListNode head, int n) {
ListNode fast = new ListNode(0);
ListNode slow = new ListNode(0);
fast = head;
slow = head;
for (int i = 1; i <= n; i++) { //快指针先走n步
fast = fast.next;
}
if (fast == null) { //边界 n=sz
return head.next;
}
while (fast.next != null) { //当fast走到尾节点,此时slow指向待删除节点的前驱节点
fast = fast.next;
slow = slow.next;
}
slow.next = slow.next.next;
return head;
}
}

浙公网安备 33010602011771号