环形链表 II
142. 环形链表 II
给定一个链表的头节点 head ,返回链表开始入环的第一个节点。 如果链表无环,则返回 null。
如果链表中有某个节点,可以通过连续跟踪 next 指针再次到达,则链表中存在环。 为了表示给定链表中的环,评测系统内部使用整数 pos 来表示链表尾连接到链表中的位置(索引从 0 开始)。如果 pos 是 -1,则在该链表中没有环。注意:pos 不作为参数进行传递,仅仅是为了标识链表的实际情况。
不允许修改 链表。
示例 1:

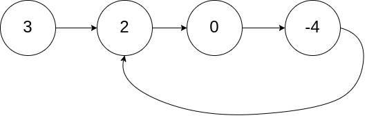
输入:head = [3,2,0,-4], pos = 1
输出:返回索引为 1 的链表节点
解释:链表中有一个环,其尾部连接到第二个节点。
示例 2:

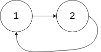
输入:head = [1,2], pos = 0
输出:返回索引为 0 的链表节点
解释:链表中有一个环,其尾部连接到第一个节点。
示例 3:

输入:head = [1], pos = -1
输出:返回 null
解释:链表中没有环。
提示:
链表中节点的数目范围在范围 [0, 104] 内
-105 <= Node.val <= 105
pos 的值为 -1 或者链表中的一个有效索引
进阶:你是否可以使用 O(1) 空间解决此题?
解法1 快慢指针
时空 O(1)
public class Solution {
public ListNode detectCycle(ListNode head) {
ListNode p = new ListNode(0);
p = head;
while (p != null) { //遍历所有节点
if (isFirst(p)) {
return p;
} else {
p = p.next;
}
}
return null;
}
public boolean isFirst(ListNode p) { //判断节点p是否是环中的节点
// 快慢指针从节点p开始扫描链表
ListNode fast = new ListNode(0);
ListNode slow = new ListNode(0);
fast = p;
slow = p;
while (fast != null) {
fast = fast.next;
if (fast != null) {
fast = fast.next;
} else {
return false;
}
slow = slow.next;
if (p == slow || p == fast) { //若再次扫描到节点p,则p为环中节点
return true;
}
if (slow == fast) { //若慢指针追上快指针,则p不在环中
break;
}
}
return false;
}
}

浙公网安备 33010602011771号