分隔链表
86. 分隔链表
给你一个链表的头节点 head 和一个特定值 x ,请你对链表进行分隔,使得所有 小于 x 的节点都出现在 大于或等于 x 的节点之前。
你应当 保留 两个分区中每个节点的初始相对位置。
示例 1:

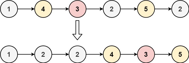
输入:head = [1,4,3,2,5,2], x = 3
输出:[1,2,2,4,3,5]
示例 2:
输入:head = [2,1], x = 2
输出:[1,2]
提示:
链表中节点的数目在范围 [0, 200] 内
-100 <= Node.val <= 100
-200 <= x <= 200
解法1
class Solution {
public ListNode partition(ListNode head, int x) {
ListNode little = new ListNode(), l = little; //链接小于X的节点
ListNode big = new ListNode(), b = big; // 链接大于等于X的节点
while (head != null) { // 遍历链表
if (head.val >= x) {
b.next = head;
b = b.next;
} else {
l.next = head;
l = l.next;
}
head = head.next;
}
l.next = big.next;
b.next = null; //防止出现环
return little.next;
}
}

浙公网安备 33010602011771号