吴恩达机器学习笔记 - SVM
001. SVM的优化目标及损失函数
跟其他直接从margin出发不同,这里从Regression 的交叉熵损失函数引入,对sigmoid函数做了一点近似的拉直变形,直接引出了SVM的损失函数



002. 大间隔的最优解
有超参数C开始讨论,当C 足够大时,要minimize目标函数,则需要 第一项等于0,这样就将无约束的优化,转化成了有约束的优化,及SVM的决策边界。 这一步可以看做是SVM求解过程所用到的拉格朗日乘子法的逆理解过程。

003.最大间隔的数学解释
将约束条件理解为 ( 样本到超平面法向量上的投影) * (法向量的模)

且优化目标函数理解为 法向量模的平方

( 样本到超平面法向量上的投影) * (法向量的模)>=1 的情况下, 投影越大,则法向量模及目标函数可以越小。 因此可以转换为找到 “法向量/超平面” 使得样本在其上的投影最大。

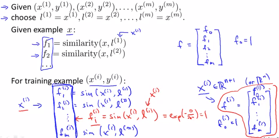
004. 核函数
非线性决策边界进行分类时,用多项式算法进行回归,需要计算很多高阶项,导致计算量很大

这里寻找f1,f2,f3的另一种构造特征 - 高斯核方法

高斯核的可视化

以三点为核,通过lamda平方来控制范围,叠加求和以后将一个区域的取值提升趋近于1

005. SVM 核方法
对所有m个样本进行高斯核转换,每个样本Xi 映射到一个m+1维的特征空间F中,

然后再利用线性SVM模型进行训练

补充: 核方法其实在其他的算法也可以嵌入做,比如逻辑回归,但是SVM计算过程中的tricks,并不能推广过去,因此计算会特别慢, 因此SVM跟核方法是相得益彰
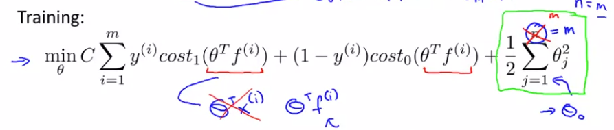
006. SVM 参数的设置
C是正则化项lamda的倒数,因此C 越小,正则化参数越大,则模型bias 越高,variance越小
高斯核里面的lamda可以理解为影响了覆盖面, lamda越大,其覆盖面越大,越圆滑,因此实际模型的样本落入其中的概率大,variance就小

结论: overfit 时,降低C,加大高斯核lamda;
underfit时,增大C,降低高斯核lamda;
007. SVM的具体使用问题
核函数选择:
维数参数多,样本小,用线性核会合理点,因为高维容易过拟合;
维数参数少,样本多,用高斯核

用高斯核时,当特征的大小差异很大时,需要做归一化,否则在计算高维核特征时,较小特征范围得到的关注不够。

其他核: 多项式核,String Kernels,Chi-square Kernels, Histogram intersection Kernels

线性核函数跟logistics regression经常拿来对比,因为算法比较相似(参考最开始的优化目标函数引进的过程),都适用于特征数量多,样本少的情形,且效果也往往也差不多
处理多分类问题时,跟logistics regression一样,采用one-all分类;
SVM的威力和魅力在于核函数对于复杂的非线性问题的处理上,样本量较大,特征数较多时,逻辑回归一般效果不好,而高斯核函数会十分突出
SVM的优化问题是一个凸优化,因此总是能找到全局最优解,无须担心local optima问题(在神经网络中,这是个不大不小的问题)
一般来说,在上面的各类样本量跟特征数上,神经网络都能取得不错的效果,但是问题是训练起来比较慢,比起SVM 会慢很多
不过,相对于在各类算法之间选择,实际上,在机器学习过程中,更加重要的是: 你有多少数据,你有多熟悉误差分析,debug算法调试,如何设计新的特征变量

浙公网安备 33010602011771号