力扣第700题 二叉搜索树中的搜索 c++ 在搜索中搜索
题目
简单
相关标签
给定二叉搜索树(BST)的根节点 root 和一个整数值 val。
你需要在 BST 中找到节点值等于 val 的节点。 返回以该节点为根的子树。 如果节点不存在,则返回 null 。
示例 1:

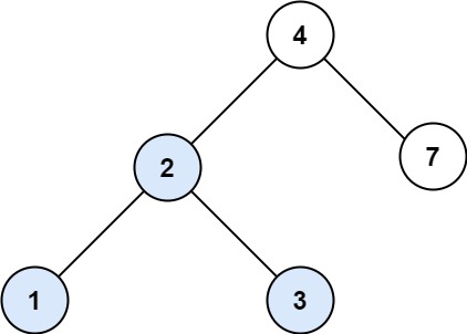
输入:root = [4,2,7,1,3], val = 2 输出:[2,1,3]
示例 2:

输入:root = [4,2,7,1,3], val = 5 输出:[]
提示:
- 数中节点数在
[1, 5000]范围内 1 <= Node.val <= 107root是二叉搜索树1 <= val <= 107
思路和解题方法
- 首先判断根节点是否为空或者根节点的值等于目标值。若满足条件,则直接返回根节点。
- 接着定义一个指针
ans,用于存储查找结果。初始时置为空指针。- 如果根节点的值大于目标值
val,则在左子树中递归查找。将查找结果赋值给ans。- 如果根节点的值小于目标值
val,则在右子树中递归查找。同样,将查找结果赋值给ans。- 最后返回
ans,即为查找到的结果。
复杂度
时间复杂度:
O(N)
时间复杂度:O(N),其中 NNN 是二叉搜索树的节点数。最坏情况下二叉搜索树是一条链,且要找的元素比链末尾的元素值还要小(大),这种情况下我们需要递归 N 次。
空间复杂度
O(N)
空间复杂度:O(N)。最坏情况下递归需要 O(N)的栈空间。
c++ 代码
class Solution {
public:
TreeNode* searchBST(TreeNode* root, int val) {
// 如果根节点为空或者根节点的值等于目标值,直接返回根节点
if (root == NULL || root->val == val) {
return root;
}
TreeNode *ans = NULL;
// 如果根节点的值大于目标值,继续在左子树中查找
if (root->val > val) {
ans = searchBST(root->left, val);
}
// 如果根节点的值小于目标值,继续在右子树中查找
if (root->val < val) {
ans = searchBST(root->right, val);
}
return ans; // 返回查找结果
}
};
迭代法
class Solution {
public:
TreeNode *searchBST(TreeNode *root, int val) {
while (root) { // 迭代遍历二叉搜索树
if (val == root->val) {
return root; // 如果找到目标值,直接返回当前节点
}
root = val < root->val ? root->left : root->right; // 根据目标值与当前节点值的大小关系更新根节点
}
return nullptr; // 如果遍历完整棵树都没有找到目标值,则返回空指针
}
};
思路和解题方法
- 首先判断根节点是否为空。若为空,则表示遍历完整棵树都没有找到目标值,返回空指针。
- 进入循环后,首先判断当前节点是否等于目标值
val。若相等,则表示找到了目标节点,直接返回该节点。- 如果目标值
val小于当前节点的值,说明目标节点在当前节点的左子树中,因此更新根节点为当前节点的左孩子。- 如果目标值
val大于当前节点的值,说明目标节点在当前节点的右子树中,因此更新根节点为当前节点的右孩子。- 循环继续,继续判断新的根节点和目标值的大小关系,直到遍历完整棵树或找到目标节点。
- 如果遍历完整棵树都没有找到目标值,则返回空指针。
觉得有用的话可以点点赞,支持一下。
如果愿意的话关注一下。会对你有更多的帮助。
每天都会不定时更新哦 >人< 。
浙公网安备 33010602011771号