力扣第701题 二叉搜索树中的插入操作 c++ 利用好题目条件
题目
中等
相关标签
给定二叉搜索树(BST)的根节点 root 和要插入树中的值 value ,将值插入二叉搜索树。 返回插入后二叉搜索树的根节点。 输入数据 保证 ,新值和原始二叉搜索树中的任意节点值都不同。
注意,可能存在多种有效的插入方式,只要树在插入后仍保持为二叉搜索树即可。 你可以返回 任意有效的结果 。
示例 1:

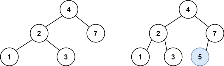
输入:root = [4,2,7,1,3], val = 5 输出:[4,2,7,1,3,5] 解释:另一个满足题目要求可以通过的树是:

示例 2:
输入:root = [40,20,60,10,30,50,70], val = 25 输出:[40,20,60,10,30,50,70,null,null,25]
示例 3:
输入:root = [4,2,7,1,3,null,null,null,null,null,null], val = 5 输出:[4,2,7,1,3,5]
提示:
- 树中的节点数将在
[0, 104]的范围内。 -108 <= Node.val <= 108- 所有值
Node.val是 独一无二 的。 -108 <= val <= 108- 保证
val在原始BST中不存在。
思路和解题方法
可以利用二叉搜索树的性质。
首先进行了一个边界情况的判断,如果当前节点为空,即找到了插入点,通过创建一个新的节点,并将新节点返回作为根节点。
如果当前节点不为空,则需要根据插入节点的值与当前节点值的大小关系,决定是往左子树还是右子树进行递归插入。
- 如果插入节点的值小于当前节点的值,则递归调用
insertIntoBST函数,传入当前节点的左子节点和插入节点的值,将返回的结果赋给当前节点的左子节点。- 如果插入节点的值大于当前节点的值,则递归调用
insertIntoBST函数,传入当前节点的右子节点和插入节点的值,将返回的结果赋给当前节点的右子节点。最后,返回插入节点后的根节点。
复杂度
时间复杂度:
O(log n)
时间复杂度为 O(log n),其中 n 是二叉搜索树的节点数,因为每次插入元素都会将搜索范围缩小一半,所以时间复杂度是对数级别的。
空间复杂度
O(n)
空间复杂度取决于递归调用栈的深度,也就是二叉搜索树的高度,因为在递归过程中需要不断地压入、弹出函数栈帧,所以空间复杂度也是 O(log n)。但当树退化成链表的时候,递归调用栈的深度会达到 n,此时空间复杂度为 O(n)。
c++ 代码
class Solution {
public:
// 向二叉搜索树中插入元素 val ,并返回插入后的根节点
TreeNode* insertIntoBST(TreeNode* root, int val) {
if (root == NULL) { // 如果当前节点为空,说明找到了插入点,创建新节点,并返回
TreeNode* node = new TreeNode(val);
return node;
}
if (root->val > val) { // 如果插入元素比当前节点小,则往左子树中插入
root->left = insertIntoBST(root->left, val);
} else if (root->val < val) { // 如果插入元素比当前节点大,则往右子树中插入
root->right = insertIntoBST(root->right, val);
}
return root; // 返回插入后的根节点
}
};
觉得有用的话可以点点赞,支持一下。
如果愿意的话关注一下。会对你有更多的帮助。
每天都会不定时更新哦 >人< 。
浙公网安备 33010602011771号