原型设计工具比较及实践
目录:
一. 原型设计工具的优缺点比较
二. 原型设计作业
原型设计工具比较
1.墨刀
背景及适用范围:墨刀是一款在线的移动应用原型与线框图工具,借助墨刀,创业者、产品经理及UI/UX设计师等用户群体能够快速搭建移动应用产品原型,演示项目效果;同时墨刀也可作为协作平台,项目成员可以协作编辑、审阅。
优点:
1.操作简单
2.演示方便
3.协作高效
4.交互简单
5.丰富的模板库和素材库
6.免费版
缺点:
1)不适用于PC端,仅限移动端产品原型,交互效果、控件组合、操作面板的选择上也都不够灵活。
(2)免费版对于项目数量、页面数量有限制。
(3)必须在线操作,离线无法保存
2.Axure
背景及适用范围:Axure是一款快速原型制作软件,能帮助网站需求设计者,快捷而简便的创建基于网站构架图的带注释页面示意图、操作流程图、以及交互设计,并可自动生成用于演示的网页文件和规格文件,以提供演示与开发。Axure作为老牌的原型图工具,功能最齐全,交互最多杨,基本任何想要的效果都可以上实现,尤其在制作pc端原型图上有优势。
优点:Axure作为老牌的原型图工具,功能最齐全,交互最多杨,基本任何想要的效果都可以上实现,尤其在制作pc端原型图上有优势。
缺点:Axure缺点同样也相当明显,Axure的动态面板、中继器等功能都是强大的,但是不容易搞懂。AXURE的素材也是很蛋疼的问题,大部分PM 都会在AXURE原型库、素材库去寻找相应的第三方素材库,进行载入,需要花费相应的时间。
3.Mockplus
背景及适用范围:摹客隶属于成都摹客科技有限公司,构建了一个高效、闭环的互联网协同合作生态系 统,它为设计师与产品、开发间的无缝对接、高效合作 提供了现实的可能。大幅度地提升互联网产品研发的效 率,让大量的设计、产品、开发资源得以释放,进而提 升了名万面资源的优化配置注重一站式的产品设计及协作。摹客支持全工序的产品设计,连接从需求到开发,为企业产品团队提供原型设计、UI设计、PRD文档撰写管理、全流程协作、自动标注切图、高效评论审阅,支持全部主流设计稿交付,帮助产品经理、设计师、开发人员高效设计协作。
优点:Mockpuls(摩客)是一款简介快速的原型图设计工具。审核软件团队、个人在软件开发的设计阶段使用。其低保真、无需学习、快速上手、功能够用。并能够很好地表达自己的设计。Mockpuls设计了组件、图标、收藏、母版的Tab,切换起来很方便。还筛选了一部分常用的组件固定在组件库上面,实现高频操作不用找。另外折叠面板的功能很棒,不用纠结展开和关闭的问题。
缺点:摩客的表格功能还需要完善,和它提倡的快速目标有差距,不支持鼠标悬停,手机预览不是很清楚,日历表组件是静态的。
原型设计作业
1.主题名称:
购物软件-淘淘
功能:
用户可以通过该软件在网上购物
3.界面设计参考因素
参考了淘宝,京东等页面。
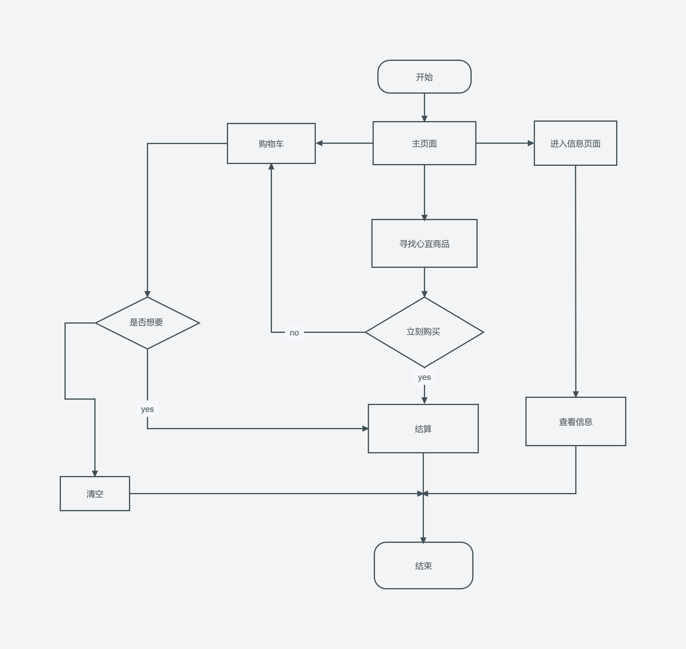
1.主页面

界面功能:
签到得金币
查找订阅的商品
查看推荐商品
搜索商品
办理会员
界面组成:
签到
办理vip
搜索
订阅
推荐
前置条件
打开app
后置条件
查找订阅
查看推荐
查看会员情况
搜索
点击签到
操作步骤
查找订阅或查看推荐或自己搜索想要的商品
(点击签到获得代现金金币)//非必要
(点击办理会员)//非必要
2.我的淘淘界面

界面功能:
更改个人信息
与客服交流
设置软件功能
查看货物信息
查看权益
界面组成:
个人信息
客服
设置
收藏
订阅店铺
待收货
待评价
售后
红包
优惠券
金币
前置条件
点击我的
后置条件
点击个人信息
点击客服
点击设置
点击收藏
点击订阅店铺
点击待收货
点击待评价
点击售后
点击红包
点击优惠券
点击金币
操作步骤
点击我的淘淘
进入个人页面,可以点击头像更改个人信息
(点击客服,与客服沟通)//非必要
设置淘淘
点击收藏,查看收藏商品
点击订阅店铺,查看收藏店铺
点击待收货,查看物流
点击待评价,对商品评价
点击售后,申请退款
查看红包,优惠券,金币
3.信息界面

界面功能:
产看信息
查找,添加联系人
界面组成:
查找信息栏
添加好友
查找好友
前置条件
打开消息中心
后置条件
点击信息栏
点击信息
点击好友
操作步骤
点击信息栏,查找信息
点击信息,与商家对话
点击好友,添加好友
4.商品界面

界面功能:
收藏商品或店铺
将商品加入购物车
直解购买
界面组成:
商品信息
收藏
购物车
购买
前置条件
点击商品
后置条件
点击收藏
点击购物车
点击购买
操作步骤
当时,直解购买
稍后,加入购物车
将商品收藏
5.购物车界面

界面功能:
结算购物车
清空购物车
查看猜我喜欢
界面组成:
查找信息栏
添加好友
查找好友
前置条件
打开购物车
后置条件
查看商品价格与数量
点击结算或清空
查看猜我喜欢商品
操作步骤
勾选商品,结算或清空
界面切换流程

浙公网安备 33010602011771号