站点分析基础概念网页浏览数

网页浏览数

: 计数度量

定义:网页浏览数(Page Views,简称PV)是指网页浏览的次数。

仅仅要网页与server端完毕一次请求,网页的浏览数就被累加一次。

说明:为了便于大家的理解,以下举例说明一下。

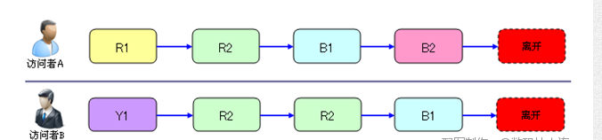
下图是訪问者AB的訪问网页履历。

每个方框表示一个网页。

编号同样的表示同一个网页。


通过图例我们能够清楚的看到訪问者AB在此次訪问中分别訪问了4个网页(网页被显示。网页浏览数数添加1),那么訪问者AB网页浏览数分别为4

这个概念就是这样简单。可是另一些网页浏览数特殊样例给大家补充说明一下。站点分析师遇到下面的情况时不会太陌生。

扩展1:

● FAQ1:连续訪问同一个网页时网页浏览数应该重复累加吗?

上面图例中訪问者B的訪问网页的履历中。訪问者B连续訪问了R2网页。对于这样的情况在眼下的站点分析行业中存在一定的争议。正方觉得应该忠实的所有记录、反方觉得这样的重复累加是没有意义的(比方用户在重复刷新同一个网页)。应该仅记录一次。

假设站点分析工具採用反方的观点的话,以上面的訪问者B的訪问履历为例,其有效浏览数为3。网页R2-R2的訪问被记录为1.我们称这样的情况为Reload Cut

如今流行的站点分析工具比如Google Analytics,维析中都会重复累加,也就是上面说的正方做法。

● FAQ2:server级别的出错网页信息怎样可以被站点分析工具监測统计到?

由于用户请求的错误,导致Webserver返回了一个错误网页(比如:错误代码为404,网页不存在错误)。通常这样的出错网页的“网页浏览数”不会被统计。由于最经常使用的站点分析数据收集方法是在网页中插入网页标记(Page Tagging)。这样打开网页时会通过Tag把数据回馈给server。可是404网页是浏览器依据server端直接返回的代码自己主动调出的网页,这个网页上是没有我们的Tag的,所以它不会被记录的。

那么假设我们想记录这个404出错网页的话,我们应该编程指定一个处理404错误的网页,然后再改网页插入网页标记(Page Tagging),这样我们就能得到我们想要的数据了。

 FAQ3:打开本地的缓存网页或者利用浏览器导航栏的后退、前进功能。网页浏览数会被累加吗?

答案是会被统计。我们知道如今主流的站点分析数据收集方式为网页标记(Page Tagging)。无论在本地打开缓存也好,使用浏览器的后退、前进功能时。改网页的标记都会与站点分析工具的数据收集server完毕一次交互(从远程载入JS或者图片),所以这样情况下网页浏览数相同会添加1

 




posted @ 2015-12-27 14:01  lcchuguo  阅读(439)  评论(0)    收藏  举报