S-IoU
SIOU : 角度、距离、shape、IOU
- angle cost:
先将一个轴拉到同样位置, 如右图,α、β,谁小,先最小化谁
cost函数:![]()
化简:cost = 2cos(2α - π/2) , α∈(0, π/4)
![]()
当α=π/4,预测框与gt框cost最大 -
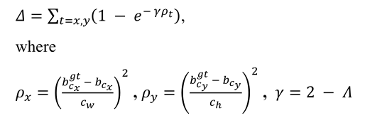
distance cost
![]()
不是很理解,这样定义p恒等于1?
但是在代码中cw、ch定义是最小包闭区,不是图上标注的
没注意,angle和distance中定义不同,distance中cwch是最小包闭区wh
对于伽马,类似权重,取极端状态
当夹角45°时,伽马等于1,因为此时重点在角度的回归
夹角0时,伽马为2,此时角度已经回归,给distance cost一个更大的值
- shape cost
![]()
θ:超参数2-6,遗传算法求解 -
![]()

cost函数:




浙公网安备 33010602011771号