第六章 树
一、选择题
1、二叉树的深度为k,则二叉树最多有( C )个结点。
A. 2k B. 2k-1 C. 2k-1 D. 2k-1
2、用顺序存储的方法,将完全二叉树中所有结点按层逐个从左到右的顺序存放在一维数组R[1..N]中,若结点R[i]有右孩子,则其右孩子是( B )。
A. R[2i-1] B. R[2i+1] C. R[2i] D. R[2/i]
3、设a,b为一棵二叉树上的两个结点,在中序遍历时,a在b前面的条件是( B )。
A. a在b的右方 B. a在b的左方 C. a是b的祖先 D. a是b的子孙
4、设一棵二叉树的中序遍历序列:badce,后序遍历序列:bdeca,则二叉树先序遍历序列为( )。
A. adbce B. decab C. debac D. abcde
5、在一棵具有5层的满二叉树中结点总数为(A)。
A. 31 B. 32 C. 33 D. 16
6、由二叉树的前序和后序遍历序列( B )惟一确定这棵二叉树。
A. 能 B. 不能
7、某二叉树的中序序列为ABCDEFG,后序序列为BDCAFGE,则其左子树中结点数目为( C )。
A. 3 B. 2 C. 4 D. 5
8、若以{4,5,6,7,8}作为权值构造哈夫曼树,则该树的带权路径长度为( C )。
A. 67 B. 68 C. 69 D. 70
9、将一棵有100个结点的完全二叉树从根这一层开始,每一层上从左到右依次对结点进行编号,根结点的编号为1,则编号为49的结点的左孩子编号为( A )。
A. 98 B. 99 C. 50 D. 48
10、表达式a*(b+c)-d的后缀表达式是( B )。
A. abcd+- B. abc+*d- C. abc*+d- D. -+*abcd
11、对某二叉树进行先序遍历的结果为ABDEFC,中序遍历的结果为DBFEAC,则后序遍历的结果是( B )。
A. DBFEAC B. DFEBCA C. BDFECA D. BDEFAC
12、树最适合用来表示( C )。
A. 有序数据元素 B. 无序数据元素 C. 元素之间具有分支层次关系的数据 D. 元素之间无联系的数据
13、表达式A*(B+C)/(D-E+F)的后缀表达式是( C )。
A. A*B+C/D-E+F B. AB*C+D/E-F+ C. ABC+*DE-F+/ D. ABCDED*+/-+
14、在线索二叉树中,t所指结点没有左子树的充要条件是( )。
A. t->left==NULL B. t->ltag==1 C. t->ltag==1&&t->left==NULL D. 以上都不对
15、任何一棵二叉树的叶结点在先序、中序和后序遍历序列中的相对次序( )。
A. 不发生改变 B. 发生改变 C. 不能确定 D. 以上都不对
16、假定在一棵二叉树中,度为2的结点数为15,度为1的结点数为30,则叶子结点数为( )个。
A. 15 B. 16 C. 17 D. 47
17、在下列情况中,可称为二叉树的是( B )。
A. 每个结点至多有两棵子树的树 B. 哈夫曼树
C. 每个结点至多有两棵子树的有序树 D. 每个结点只有一棵子树
18、用顺序存储的方法,将完全二叉树中所有结点按层逐个从左到右的顺序存放在一维数组R[1..n]中,若结点R[i]有左孩子,则其左孩子是( )。
A. R[2i-1] B. R[2i+1] C. R[2i] D. R[2/i]
19、下面说法中正确的是( )。
A. 度为2的树是二叉树 B. 度为2的有序树是二叉树
C. 子树有严格左右之分的树是二叉树 D. 子树有严格左右之分,且度不超过2的树是二叉树
20、树的先根序列等同于与该树对应的二叉树的( )。
A. 先序序列 B. 中序序列 C. 后序序列 D. 层序序列
21、按照二叉树的定义,具有3个结点的二叉树有( C )种。
A. 3 B. 4 C. 5 D. 6
22、由权值为3,6,7,2,5的叶子结点生成一棵哈夫曼树,它的带权路径长度为( A )。
A. 51 B. 23 C. 53 D. 74
二、判断题
( )1、存在这样的二叉树,对它采用任何次序的遍历,结果相同。
( )2、中序遍历一棵二叉排序树的结点,可得到排好序的结点序列。
( )3、对于任意非空二叉树,要设计其后序遍历的非递归算法而不使用堆栈结构,最适合的方法是对该二叉树采用三叉链表。
( )4、在哈夫曼编码中,当两个字符出现的频率相同时,其编码也相同,对于这种情况应做特殊处理。
(√ )5、一个含有n个结点的完全二叉树,它的高度是ëlog2nû+1。
(√ )6、完全二叉树的某结点若无左孩子,则它必是叶结点。
三、填空题
1、具有n个结点的完全二叉树的深度是 ëlog2nû+1 。
2、哈夫曼树是其树的带权路径长度 最小 的二叉树。
3、在一棵二叉树中,度为0的结点的个数是n0,度为2的结点的个数为n2,则有n0= N2+1 。
4、树内各结点度的 最大值 称为树的度。
四、代码填空题
1、函数InOrderTraverse(Bitree bt)实现二叉树的中序遍历,请在空格处将算法补充完整。
void InOrderTraverse(BiTree bt){
if( ){
InOrderTraverse(bt->lchild);
printf(“%c”,bt->data);
;
}
}
2、函数depth实现返回二叉树的高度,请在空格处将算法补充完整。
int depth(Bitree *t){
if(t==NULL)
return 0;
else{
hl=depth(t->lchild);
hr= depth(t->rchild) ;
if( hl>hr )
return hl+1;
else
return hr+1;
}
}
3、写出下面算法的功能。
Bitree *function(Bitree *bt){
Bitree *t,*t1,*t2;
if(bt==NULL)
t=NULL;
else{
t=(Bitree *)malloc(sizeof(Bitree));
t->data=bt->data;
t1=function(bt->left);
t2=function(bt->right);
t->left=t2;
t->right=t1;
}
return(t);
}
答案:交换二叉树结点左右子树的递归算法
4、写出下面算法的功能。
void function(Bitree *t){
if(p!=NULL){
function(p->lchild);
function(p->rchild);
printf(“%d”,p->data);
}
}
答案:二叉树后序遍历递归算法
五、综合题
1、假设以有序对<p,c>表示从双亲结点到孩子结点的一条边,若已知树中边的集合为{<a,b>,<a,d>,<a,c>,<c,e>,<c,f>,<c,g>,<c,h>,<e,i>,<e,j>,<g,k>},请回答下列问题:
(1)哪个结点是根结点?
(2)哪些结点是叶子结点?
(3)哪些结点是k的祖先?
(4)哪些结点是j的兄弟?
(5)树的深度是多少?。
2、假设一棵二叉树的先序序列为EBADCFHGIKJ,中序序列为ABCDEFGHIJK,请画出该二叉树。
3、假设用于通讯的电文仅由8个字母A、B、C、D、E、F、G、H组成,字母在电文中出现的频率分别为:0.07,0.19,0.02,0.06,0.32,0.03,0.21,0.10。请为这8个字母设计哈夫曼编码。
4、已知二叉树的先序遍历序列为ABCDEFGH,中序遍历序列为CBEDFAGH,画出二叉树。
5、试用权集合{12,4,5,6,1,2}构造哈夫曼树,并计算哈夫曼树的带权路径长度。
WPL=12*1+(4+5+6)*3+(1+2)*4=12+45+12=69
6、已知权值集合为{5,7,2,3,6,9},要求给出哈夫曼树,并计算带权路径长度WPL。
(2)带权路径长度:WPL=(6+7+9)*2+5*3+(2+3)*4=44+15+20=79
7、已知一棵二叉树的先序序列:ABDGJEHCFIKL;中序序列:DJGBEHACKILF。画出二叉树的形态。
8、一份电文中有6种字符:A,B,C,D,E,F,它们的出现频率依次为16,5,9,3,30,1,完成问题:
(1)设计一棵哈夫曼树;(画出其树结构)
(2)计算其带权路径长度WPL;
(2)带权路径长度:WPL=30*1+16*2+9*3+5*4+(1+3)*5=30+32+27+20+20=129
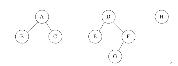
9、已知某森林的二叉树如下所示,试画出它所表示的森林。
10、有一分电文共使用5个字符;a,b,c,d,e,它们的出现频率依次为4、7、5、2、9,试构造哈夫曼树,并给出每个字符的哈夫曼编码。
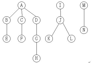
11、画出与下图所示的森林相对应的二叉树,并指出森林中的叶子结点在二叉树中具有什么特点。
12、如下所示的二叉树,请写出先序、中序、后序遍历的序列。
六、编程题
1、编写求一棵二叉树中结点总数的算法。
答案: (以先序遍历的方法为例)
void count_preorder(Bitree *t, int *n)
{
if(t!=NULL)
{*n++;
count_preorder(t->lchild);
count_preorder(t->lchild); }
}










浙公网安备 33010602011771号