傅里叶级数展开
傅里叶级数
周期函数
满足条件:$f(x+T)=f(x)$ 的函数称为周期函数,其中 $T $称为该函数的最小正周期。周期函数的性质
(i)若\(T\) 为一周期函数\(f(x)\)的周期,那么\(kT,k{\in}R\) , 也为\(f(x)\)的周期。若\(T_1,T_2\)都为\(f(X)\)的周期,那么 \(k_1T_1+k_2T_2\) 同样也为\(f(x)\)的周期。
(ii)每一个非常函数且连续的周期函数一定有一个最小正周期。
(iii)若\(f和g\)都是以周期 \(T\)为周期的两个连续函数,则\(af+bg\)也是以T为周期的函数。
(iv)若\(f\)是一个周期函数,则定义\(x:=\frac{2{\pi}}T\)为周期为\(2{\pi}\)的周期函数,且\(\overline{f}(x)=f(\frac T{2{\pi}}x)\)
(v)若\(f\)是一个周期函数,则它的积分满足:\(\sum_0^Tf(x)dx=\sum_0^{T+a}f(x)dx\)
周期延拓
现有一个函数:$g(t),t{\in}[0,T]或t{\in}[0,\frac T2]$可以延拓为一个周期为T 的函数$f$(i)直接延拓:
存在\(g(t),t{\in}[0,T),对于t{\in}[kT,kT+T),k{\in}Z\),且\(g\)满足\(g(t)=g(t+kT),k{\in}Z\),则有\(f(t)=g(t+kT),k{\in}Z\)
(ii)偶延拓:
存在\(g(t),t{\in}[0,\frac T2),\),且g满足\(g(t)=g(-t),t{\in}[-\frac T2,0)\) ,类比(i)可以得到一个周期为T的延拓函数f(t).则有\(f(t):=g(t-kT),t{\in}[\frac{2k-1}2,\frac{2k+1}2)\)
(iii)奇延拓:
类比偶延拓有存在\(g(t),t{\in}[0,\frac T2),且g\)满足\(g(-t)=-g(t),t{\in}[-\frac T2,0),g(0)=g(-\frac T2):=0\) ,则有\(f(t):=g(t-kT),t{\in}[\frac{2k-1}2,\frac{2k+1}2)\)
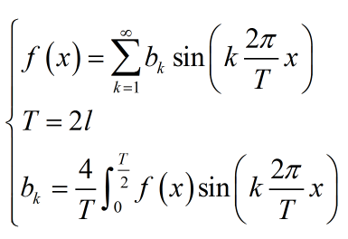
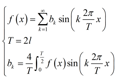
傅里叶级数
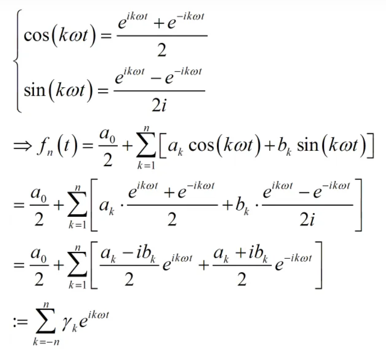
定义:形如

\(a_k,b_k {\in} R/C,w :=2\frac{\pi}T\)的级数称为傅里叶级数利用欧拉公式。可以将其表示为复数形式,过程如下:


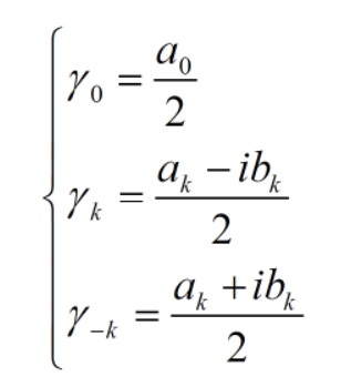
其中\({\gamma}_k,与a_k,b_k\)之间的关系为:

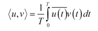
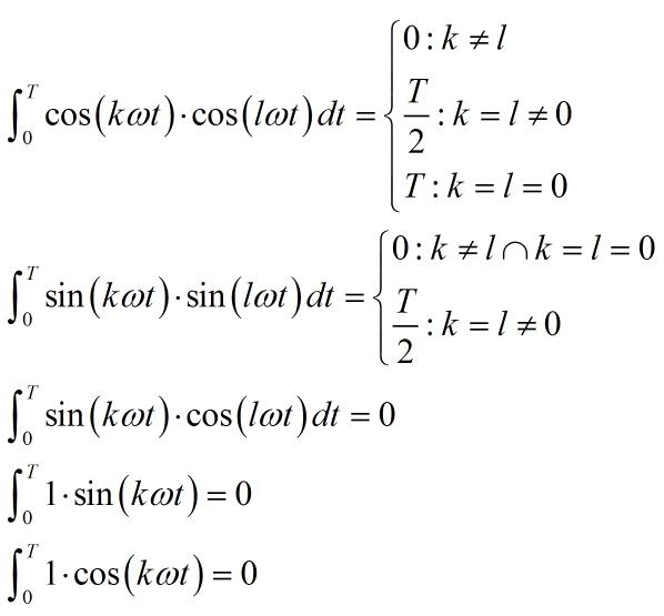
为了求出系数\(a_0,a_k,b_k\) ,首先要介绍正交函数系的概念.
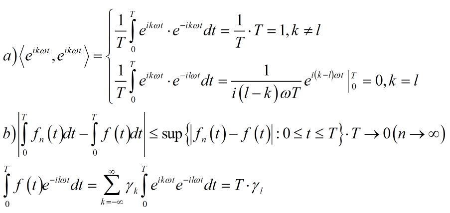
函数\(e^{ikwt},k {\in}Z,w=\frac{2{\pi}}T\) 的一个正交由数量积确定:

如果傅里叶级数\(\sum_{k=-∞}^{∞}\) 在 [0,T]上一致收敛于f,且是连续的,则有:

证明如下:

下面考察三角函数系的正交性。

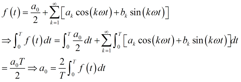
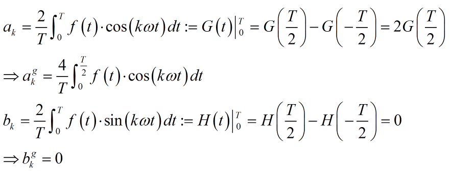
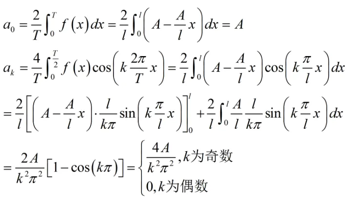
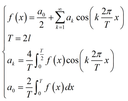
我们可以利用三角函数的正交性来求解傅里叶系数,首先先来求\(a_0\)

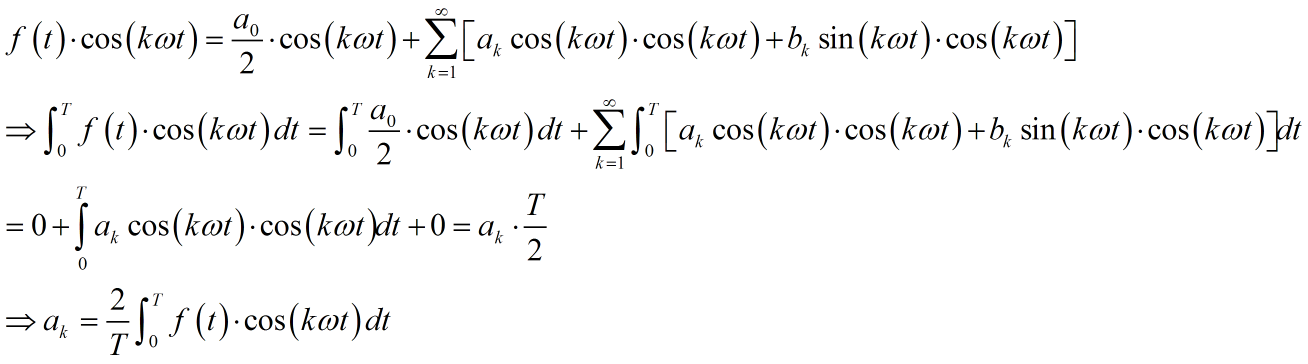
之后来求\(a_k\),

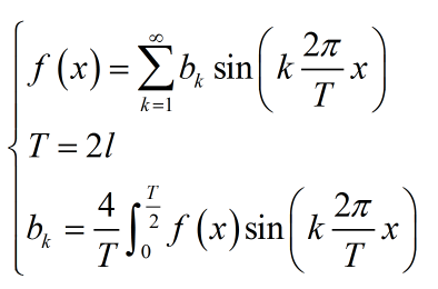
同理可以求得\(b_k\)

下面讨论\(f(t)\) 的奇偶性对傅里叶系数的影响
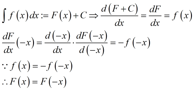
首先先来证明一个结论:奇函数的原函数一定是偶函数,偶函数的原函数一定是奇函数。
证明如下:
设:\(f(x)\)为奇函数,则对其进行积分有:

同理可以证明后半句。
而且我们知道,奇函数×奇函数=偶函数,偶函数×偶函数=奇函数,奇函数×偶函数=偶函数×奇函数=奇函数。
从而,当 \(f(t)\) 为偶函数时:\(f(t)cos(kwt)\)也是偶函数,$f(t)sin(kwt) $ 是奇函数,进而有:

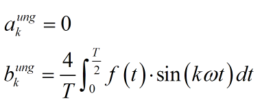
同理可得当\(f(t)\)为奇函数时的傅里叶系数为

几个常用波形的傅里叶级数
下面推导几个常用波形的傅里叶级数.并借助推导过程,让读者了解如何将一个周期函数展开成傅里叶级数.
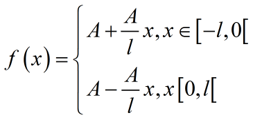
三角波
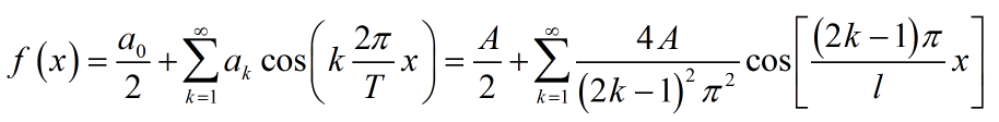
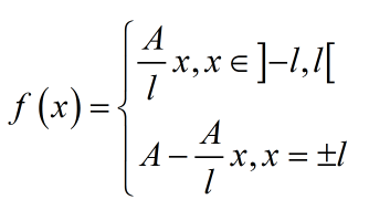
我将三角波分为三种:我叫他们奇三角波和偶三角波,还有一种一般三角波。我们仅推导偶三角波的傅里叶级数,奇三角波的傅里叶展开式同理(*提示:如果不能直接求出奇三角波的波形,可以先对其进行平移,将其变为偶函数,求出平移后的函数的傅里叶级数之后在将傅里叶级数平移回去得到原奇三角波的傅里叶级数)。一般三角波的傅里叶级数可以根据具体情况由奇三角波或者偶三角波平移得到.周期为\(2l\) .
对于图中所示的偶三角波有:


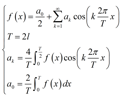
由于f 是偶函数,根据之前的结论可以知道\(b_k=0\),从而可以得到以下方程组:

现在的任务就是将\(a_0,a_k\) 解出来:

在写出f 的傅里叶级数时需要将傅里叶系数中的 k 全部变为 2k-1.原因是\(a_k\) 只有在k是奇数时才有值.(变为 2k+1 也可以,不过求和号的起点应为0)

锯齿波
求如下图所示的锯齿波的傅里叶级数

首先该锯齿波的函数表达式为:

由于f 是奇函数,所以根据之前结论有\(a_0=a_k=0\) ,从而可以得到以下方程组:

现在求解 \(b_k\)

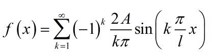
于是可以得到锯齿波的傅里叶级数为(*注:遇到傅里叶系数符号不定的情况可以使用\((-1)^k\)

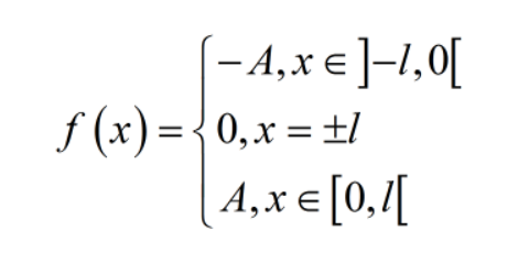
方波
方波也分为偶方波,奇方波和一般方波,但是方波的情况比较单一,偶方波和一般方波的傅里叶级数都可以通过对奇方波的傅里叶级数左右平移得到.所以,我们仅求出奇方波的傅里叶级数即可.
对于下图的方波,其函数表达式应为:


且由于 f 是奇函数,所以有着跟之前一样的结论,可以立即得到以下方程组:

下面来求解 \(b_k\) :

所以可以到到奇方波的傅里叶级数为:

比如偶方波的傅里叶级数可由上级数向左平移 \(\frac l2\) 得到.
对于傅里叶级数可以平移的这个结论具有普遍性.不给证明的来说明以下为何傅里叶级数可以平移.
就拿方波的例子来讲,奇方波是由无穷个不同的三角函数叠加而成。而偶方波可以通过奇方波平移得到,也就是线性合成奇方波的这无穷个三角函数都发生了平移,由于是线性组合,所以平移之后图像的形状不会发生变化.所以平移之后再进行叠加会跟原来的方波的形状是一致的。从而说明偶方波的傅里叶级数可以有奇方波的傅里叶级数平移得到。
通过以上3个经典的例子,我们来总结以下求一个函数傅里叶级数的大致步骤:
1.首先确定函数表达式和周期大小;
2.判断函数的奇偶性;
3.判断好奇偶性之后利用之前结论导出傅里叶系数;
4.将函数写为傅里叶级数.
半周期延拓
有些函数仅给出了半个周期上的表达式或图像,可以利用半周期展开将其展开成正弦级数(奇延拓)或余弦级数(偶延拓),如下图所示,蓝线为偶延拓,红线为奇延拓.

奇延拓的傅里叶级数为:

偶延拓的傅里叶级数为:


浙公网安备 33010602011771号