傅里叶变换
模拟信号
模拟信号x(t)连续,对应傅里叶变换(FT):

傅里叶变换实际是一个积分变换,求变换时,实际是对 求积分,可以利用矩形近似进行求积分,只要将时间间隔Ts取得非常小,就可以利用求和来近似求积分:

(连续信号到离散,需要进行抽样,抽样间隔如何选取)
时域有限信号
若信号x(t)对于t<0和t>T为0,信号只在0到T之间有值,那么这个近似就可以写成:

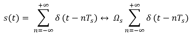
对某个给定的频率,就可以用上式求得其频谱密度值,如果给出一个频率范围,则可以选取一些间隔上的点求出其取值。抽样脉冲:

时频采样
1.采样频率fs,也称为采样速度或者采样率,定义了每秒从连续信号中提取并组成离散信号的采样个数,它用赫兹(Hz)来表示。采样频率的倒数是采样周期或者叫作采样时间,它是采样之间的时间间隔。采样频率越高,即采样的间隔时间越短,则在单位时间内计算机得到的声音样本数据就越多,对声音波形的表示也越精确。
2.时域采样,频域周期延拓,频域采样,时域周期延拓。
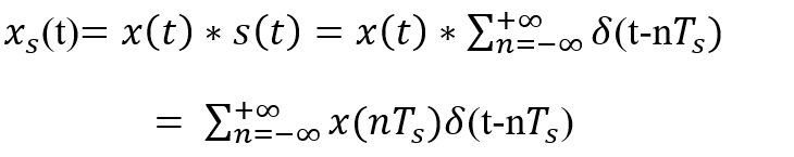
3.以间隔Ts对x(t)采样,每隔Ts秒对x(t)采样一次,那么信号的采样值就构成了离散时间序列。得到离散时间信号x(n)=x(t)|t=nTs= x(nTs). Ts称为采样间隔/周期,fs=1/Ts为采样频率。模拟角频率(Ω),Ω=2πf,数字频率(w)关系为:

对x(t)进行抽样得到xs(t);抽样间隔 ,抽样频率Fs=1/Ts.



n=0时,
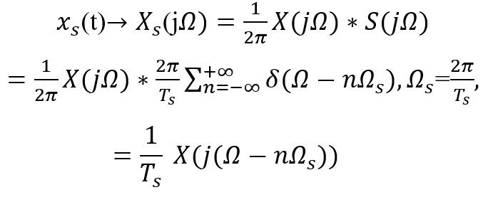
,包含原信号的全部信息,幅度差Ts倍。

浙公网安备 33010602011771号