插值算法
拉格朗日插值法
理解,一般不用,有很多问题,之后说明
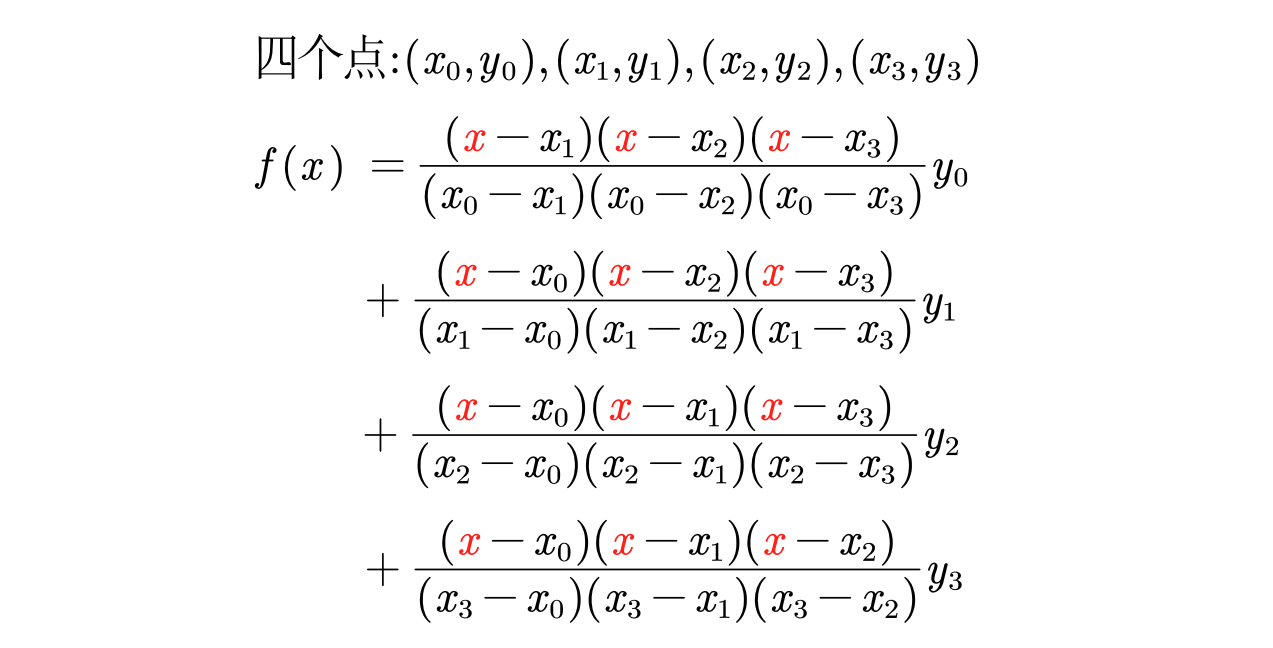
- 在数值分析中,拉格朗日插值法是以法国十八世纪数学家约瑟夫∙路易斯∙拉格朗日命名的一种多项式插值方法。在若干个不同的地方得到相应的观测值,拉格朗日插值法可以找到一个多项式,其恰好在各个观测的点取到观测到值。
举个例子:

公式:

龙格现象(Runge phenomenon)
- 高次插值会产生龙格现象,即在两端处波动极大,产生明显的震荡。在不熟悉曲线运动趋势的前提下,不要轻易使用高次插值。


分段二次插值
提高插值精度

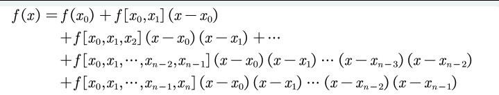
牛顿插值法
公式如下:


两种插值法的对比
与拉格朗日插值法相比,牛顿插值法的计算过程具有继承性。(牛顿插值法每次插值只和前n项的值有关,这样每次只要在原来的函数上添加新的项,就能够产生新的函数)但是牛顿插值也存在龙格现象的问题。
两种插值法的另一个缺点
上面讲的两种插值仅仅要求插值多项式在插值节点处与被插函数有相等的函数值,而这种插值多项式却不能全面反映被插值函数的性态。
然而在许多实际问题中,不仅要求插值函数与被插值函数在所有节点处有相同的函数值,它也需要在一个或全部节点上插值多项式与被插函数有相同的低阶甚至高阶的导数值。
对于这些情况,拉格朗日插值和牛顿插值都不能满足。
埃尔米特(Hermite)插值
分段三次埃尔米特插值
直接使用Hermite插值得到的多项式次数较高,也存在着龙格现象,因此在实际应用中,往往使用分段三次 Hermite 插值多项式 (
PCHIP)。
Matlab有内置的函数(实现过程已经帮我们封装好了,会调用就行了):
p = pchip(x,y, new_x)
x是已知的样本点的横坐标;y是已知的样本点的纵坐标;new_x是要插入处对应的横坐标
例如:
x = ‐pi:pi; y = sin(x);
new_x = ‐pi:0.1:pi;
p = pchip(x,y,new_x);
plot(x, y, 'o', new_x, p, 'r‐')
plot函数用法:
plot(x1,y1,x2,y2)
线方式: ‐ 实线 :点线 ‐. 虚点线 ‐ ‐ 波折线
点方式: . 圆点 +加号 * 星号 x x形 o 小圆
颜色: y黄; r红; g绿; b蓝; w白; k黑; m紫; c青

三次样条插值
- 更为精准
- Matlab有内置的函数:
p = spline (x,y, new_x)

可以看出,三次样条生成的曲线更加光滑。在实际建模中,由于我们不知道数据的生成过程,因此这两种插值都可以使用。

浙公网安备 33010602011771号