浅谈二次剩余
本文只讨论p为奇质数的情况
下面大量内容借用神仙yyc大佬的blogs
才不是因为我懒
概(che)论(dan)
给 c , p c, p c,p求解
x 2 ≡ c ( m o d p ) x^2 \equiv c \pmod p x2≡c(modp)
前置芝士
欧拉判别法
首先要知道这个数有没有二次剩余,即
x
2
≡
c
(
m
o
d
p
)
x^2 \equiv c \pmod p
x2≡c(modp)是否有解
先给出结论:
证明:
把
c
p
−
1
2
平
方
一
下
变
成
c
(
p
−
1
2
)
2
=
c
p
−
1
=
1
(
根
据
费
马
小
定
理
,
所
以
开
根
后
为
±
1
把c^{\frac{p-1}{2}}平方一下变成c^{{(\frac{p-1}{2})}^2} = c^{p-1}=1(根据费马小定理,所以开根后为±1
把c2p−1平方一下变成c(2p−1)2=cp−1=1(根据费马小定理,所以开根后为±1
当
c
p
−
1
2
=
−
1
时
可
以
用
反
证
法
把
x
2
=
c
代
入
得
到
x
p
−
1
≡
−
1
(
m
o
d
p
)
显
然
和
费
马
小
定
理
矛
盾
当c^{\frac{p-1}{2}}=-1时可以用反证法把x^2=c代入得到x^{p-1}\equiv-1(mod \ p) 显然和费马小定理矛盾
当c2p−1=−1时可以用反证法把x2=c代入得到xp−1≡−1(mod p)显然和费马小定理矛盾
或者可以直接简单理解一下如果
c
p
−
1
2
=
−
1
c^{\frac{p-1}{2}}=-1
c2p−1=−1说明是在原根环的一个偶数点的位置上,那么必定存在一个位置平方是这个偶数位置
二次剩余个数
p
−
1
2
个
\large \frac{p-1}{2}个
2p−1个
引
理
:
c
2
≡
(
p
−
c
)
2
(
m
o
d
p
)
,
就
相
当
于
c
2
和
(
−
c
)
2
引理:c^2 \equiv (p-c)^2 \pmod p,就相当于c^2和(-c)^2
引理:c2≡(p−c)2(modp),就相当于c2和(−c)2
我
们
定
义
一
个
奇
怪
的
东
西
:
(
a
p
)
表
示
上
面
那
个
东
西
又
叫
勒
让
德
符
号
(
l
e
g
e
n
d
r
e
s
y
m
b
o
l
)
我们定义一个奇怪的东西:\large ( \frac{a}{p}) 表示上面那个东西 \ \ \ 又叫 勒让德符号 (legendre symbol)
我们定义一个奇怪的东西:(pa)表示上面那个东西 又叫勒让德符号(legendresymbol)

有下列性质:
(
a
b
p
)
=
(
a
p
)
(
b
p
)
\large ( \frac{ab}{p})=\large ( \frac{a}{p})\large ( \frac{b}{p})
(pab)=(pa)(pb)
( q p ) ( p q ) = ( − 1 ) p − 1 2 ∗ q − 1 2 \large ( \frac{q}{p})\large ( \frac{p}{q})=(-1)^{\frac{p-1}{2} * \frac{q-1}{2}} (pq)(qp)=(−1)2p−1∗2q−1
其实还是挺容易理解的
算法流程
假
设
我
们
要
求
n
在
模
p
意
义
下
的
二
次
剩
余
,
即
x
2
≡
n
(
m
o
d
p
)
,
求
x
假设我们要求n在模p意义下的二次剩余,即x^2 \equiv n \pmod p,求x
假设我们要求n在模p意义下的二次剩余,即x2≡n(modp),求x
先
随
机
一
个
值
a
使
得
(
a
2
−
n
)
p
−
1
2
=
−
1
,
也
就
是
说
a
2
−
n
不
是
p
的
二
次
剩
余
。
先随机一个值a使得 (a^2-n)^{\frac{p-1}{2}}=-1,也就是说a^2-n不是p的二次剩余。
先随机一个值a使得(a2−n)2p−1=−1,也就是说a2−n不是p的二次剩余。
因为上面说了有
p
−
1
2
\frac{p-1}{2}
2p−1个,所以期望
2
2
2次就能随机到
然
后
我
们
强
行
将
其
开
根
,
这
样
会
得
到
一
个
类
似
虚
数
的
东
西
,
准
确
来
说
时
设
w
2
=
(
a
2
−
n
)
,
学
过
F
F
T
的
应
该
都
能
理
解
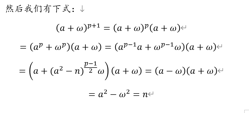
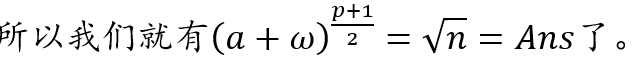
然后我们强行将其开根,这样会得到一个类似虚数的东西,准确来说时设w^2=(a^2-n),学过FFT的应该都能理解
然后我们强行将其开根,这样会得到一个类似虚数的东西,准确来说时设w2=(a2−n),学过FFT的应该都能理解
可以证明扩系后仍然是环。
引
理
:
(
a
+
b
)
p
=
a
p
+
b
p
引理:(a+b)^p = a^p + b^p
引理:(a+b)p=ap+bp
证明直接二项式展开一下再加上Lucas就好了,详细过程可以看yyc的blog


所以这么随便搞搞就好了
#include<bits/stdc++.h>
#define ll long long
using namespace std;
struct cp {
ll x, y;
};
ll mod, w;
cp mul(cp x, cp y) {return cp{(x.x * y.x % mod + x.y * y.y % mod * w % mod) % mod, (x.x * y.y % mod + x.y * y.x % mod) % mod};}//新运算
cp qpow(cp x, int y) {
cp ret = {1, 0};
for(; y; y >>= 1, x = mul(x, x)) if(y & 1) ret = mul(ret, x);
return ret;
}
void Cipolla(int n, int p) {
mod = p;
if(!n) {
printf("0\n");
return;
}
if(p == 2) {
printf("1\n");
return;
}//0, 2特判
if(qpow(cp{n, 0}, (mod - 1) >> 1).x == mod - 1) {//如果欧拉判别失败
printf("Hola!\n");
return;
}
ll a = rand() % mod;
while(!a || qpow(cp{w = (a * a - n + mod) % mod, 0}, (mod - 1) >> 1).x == 1) a = rand() % mod;//随机一个a,求得解
int x0 = qpow(cp{a, 1}, (mod + 1) >> 1).x, x1 = mod - x0;//求出另外
if(x0 > x1) swap(x0, x1);
if(x0 != x1) printf("%lld %lld\n", x0, x1);
else printf("%lld\n", x0);
}
int Q;
int main() {
srand(time(NULL));
scanf("%d", &Q);
while(Q --) {
ll n, p;
scanf("%lld%lld", &n, &p);
Cipolla(n, p);
}
return 0;
}
to be continue……

浙公网安备 33010602011771号