浅谈拉格朗日插值
先丢个板子
P4781 【模板】拉格朗日插值
其实就是给你
n
n
n个点,可以唯一确定一个
n
−
1
n-1
n−1次的多项式
f
(
x
)
f(x)
f(x)
然后再给你一个
k
k
k问
f
(
k
)
f(k)
f(k)是多少
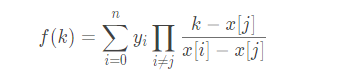
然后我们发现多项式可以表示成这个形式

手玩一下可以发现,它就是构造了一个多项式,使得当
k
=
x
[
i
]
k=x[i]
k=x[i]的时候只有
y
[
i
]
y[i]
y[i]会留下来,其他的都连乘都会变成0
然后这个东西其实就是原多项式
然后直接套这条柿子就可以过掉模板题了
code:
#include<bits/stdc++.h>
#define N 1000005
#define int long long
#define mod 998244353
using namespace std;
int qpow(int x, int y) {
int ret = 1;
for(; y; y >>= 1, x = x * x % mod) if(y & 1) ret = ret * x % mod;
return ret;
}
int n, k, x[N], y[N];
signed main() {
scanf("%lld%lld", &n, &k);
for(int i = 1; i <= n; i ++) scanf("%lld%lld", &x[i], &y[i]);
int ans = 0;
for(int i = 1; i <= n; i ++) {
int pi = 1;
for(int j = 1; j <= n; j ++) if(j != i) pi = pi * (x[i] - x[j] + mod) % mod;
pi = qpow(pi, mod - 2);//分母
for(int j = 1; j <= n; j ++) if(j != i) pi = pi * (k - x[j] + mod) % mod;//分子
ans = (ans + y[i] * pi % mod) % mod;//加起来
}
printf("%lld", ans);
return 0;
}
优化
我们考虑自变量值域连续的情况,即x=1~n
可以发现上面那条柿子

下面就变成了
f
a
c
[
i
−
1
]
∗
f
a
c
[
n
−
i
]
fac[i - 1] * fac[n - i]
fac[i−1]∗fac[n−i]
注意一点,
n
−
i
n-i
n−i如果是奇数要取负
然后分子可以直接预处理一个
p
r
e
[
i
]
=
p
r
e
[
i
−
1
]
∗
(
k
−
x
[
i
]
)
pre[i] = pre[i - 1] * (k - x[i])
pre[i]=pre[i−1]∗(k−x[i])和 suf 然后乘起来就是分子
下面的题题解后面再补
luogu P4593 [TJOI2018]教科书般的亵渎
P4463 [集训队互测2012] calc
CF995F Cowmpany Cowmpensation | solution

浙公网安备 33010602011771号