斯特林数及其反演
第一类斯特林数
s
(
n
,
k
)
表
示
把
n
个
数
分
成
k
个
无
区
分
圆
排
列
的
方
案
数
,
显
然
有
递
推
式
s(n, k) 表示把 n 个数分成 k 个无区分圆排列的方案数,显然有递推式
s(n,k)表示把n个数分成k个无区分圆排列的方案数,显然有递推式
s
(
n
,
k
)
=
s
(
n
–
1
,
k
−
1
)
+
s
(
n
–
1
,
k
)
(
n
–
1
)
\large s(n, k) = s(n – 1, k - 1) + s(n – 1, k) (n – 1)
s(n,k)=s(n–1,k−1)+s(n–1,k)(n–1)
考虑最后一个数放哪里即可
还有一个

就是考虑1所在的圆长啥样
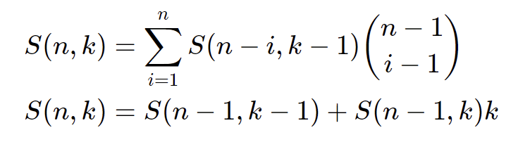
第二类斯特林数
S
(
n
,
k
)
表
示
把
n
个
数
划
分
成
k
个
无
区
分
集
合
的
方
案
数
S(n, k) 表示把 n 个数划分成 k 个无区分集合的方案数
S(n,k)表示把n个数划分成k个无区分集合的方案数

一个重要的恒等式
x
n
=
∑
i
=
0
x
S
(
n
,
i
)
×
C
x
i
×
i
!
\huge x^n=\sum\limits_{i=0}^x S(n,i)\times C_x^i\times i!
xn=i=0∑xS(n,i)×Cxi×i!
二项式反演一手
S
(
n
,
m
)
=
1
m
!
∑
i
=
0
m
(
−
1
)
m
−
i
×
C
m
i
×
i
n
\large S(n,m)=\frac{1}{m!}\sum\limits_{i=0}^{m}(-1)^{m-i}\times C_m^i\times i^n
S(n,m)=m!1i=0∑m(−1)m−i×Cmi×in
这个东西可以直接大力卷积(所以一行是可以直接算的)
斯特林反演
反转公式

反演公式:

用反转公式瞎推推就行了
所以两类斯特林数是可以互相转换的
求行列。。。
我也不会,先咕咕咕着

浙公网安备 33010602011771号