Python元类
元类介绍
什么是元类呢?一切源自于一句话:python中一切皆为对象。让我们先定义一个类,然后逐步分析
class StanfordTeacher(object):
school='Stanford'
def __init__(self,name,age):
self.name=name
self.age=age
def say(self):
print('%s says welcome to the Stanford to learn Python' %self.name)
所有的对象都是实例化或者说调用类而得到的(调用类的过程称为类的实例化),比如对象t1是调用类StanfordTeacher得到的
t1=StanfordTeacher('lili',18)
print(type(t1)) #查看对象t1的类是<class '__main__.StanfordTeacher'>
如果一切皆为对象,那么类StanfordTeacher本质也是一个对象,既然所有的对象都是调用类得到的,那么StanfordTeacher必然也是调用了一个类得到的,这个类称为元类
于是我们可以推导出===>产生StanfordTeacher的过程一定发生了:StanfordTeacher=元类(...)
print(type(StanfordTeacher)) # 结果为<class 'type'>,证明是调用了type这个元类而产生的StanfordTeacher,即默认的元类为type

class关键字创建类的流程分析
上文我们基于python中一切皆为对象的概念分析出:我们用class关键字定义的类本身也是一个对象,负责产生该对象的类称之为元类(元类可以简称为类的类),内置的元类为type。
class关键字在帮我们创建类时,必然帮我们调用了元类StanfordTeacher=type(...),那调用type时传入的参数是什么呢?必然是类的关键组成部分,一个类有三大组成部分,分别是:
1、类名class_name='StanfordTeacher'
2、基类们class_bases=(object,)
3、类的名称空间class_dic,类的名称空间是执行类体代码而得到的
调用type时会依次传入以上三个参数
综上,class关键字帮我们创建一个类应该细分为以下四个过程

补充:exec的用法
#exec:三个参数
#参数一:包含一系列python代码的字符串
#参数二:全局作用域(字典形式),如果不指定,默认为globals()
#参数三:局部作用域(字典形式),如果不指定,默认为locals()
#可以把exec命令的执行当成是一个函数的执行,会将执行期间产生的名字存放于局部名称空间中
g={
'x':1,
'y':2
}
l={}
exec('''
global x,z
x=100
z=200
m=300
''',g,l)
print(g) #{'x': 100, 'y': 2,'z':200,......}
print(l) #{'m': 300}
自定义元类控制类StanfordTeacher的创建
一个类没有声明自己的元类,默认他的元类就是type,除了使用内置元类type,我们也可以通过继承type来自定义元类,然后使用metaclass关键字参数为一个类指定元类
class Mymeta(type): #只有继承了type类才能称之为一个元类,否则就是一个普通的自定义类
pass
# StanfordTeacher=Mymeta('StanfordTeacher',(object),{...})
class StanfordTeacher(object,metaclass=Mymeta):
school='Stanford'
def __init__(self,name,age):
self.name=name
self.age=age
def say(self):
print('%s says welcome to the Stanford to learn Python' %self.name)
自定义元类可以控制类的产生过程,类的产生过程其实就是元类的调用过程,即StanfordTeacher=Mymeta('StanfordTeacher',(object),{...}),调用Mymeta会先产生一个空对象StanfordTeacher,然后连同调用Mymeta括号内的参数一同传给Mymeta下的__init__方法,完成初始化,于是我们可以
class Mymeta(type): #只有继承了type类才能称之为一个元类,否则就是一个普通的自定义类
def __init__(self,class_name,class_bases,class_dic):
# print(self) #<class '__main__.StanfordTeacher'>
# print(class_bases) #(<class 'object'>,)
# print(class_dic) #{'__module__': '__main__', '__qualname__': 'StanfordTeacher', 'school': 'Stanford', '__init__': <function StanfordTeacher.__init__ at 0x102b95ae8>, 'say': <function StanfordTeacher.say at 0x10621c6a8>}
super(Mymeta, self).__init__(class_name, class_bases, class_dic) # 重用父类的功能
if class_name.islower():
raise TypeError('类名%s请修改为驼峰体' %class_name)
if '__doc__' not in class_dic or len(class_dic['__doc__'].strip(' \n')) == 0:
raise TypeError('类中必须有文档注释,并且文档注释不能为空')
# StanfordTeacher=Mymeta('StanfordTeacher',(object),{...})
class StanfordTeacher(object,metaclass=Mymeta):
"""
类StanfordTeacher的文档注释
"""
school='Stanford'
def __init__(self,name,age):
self.name=name
self.age=age
def say(self):
print('%s says welcome to the Stanford to learn Python' %self.name)
自定义元类控制类StanfordTeacher的调用
储备知识:__call__
class Foo:
def __call__(self, *args, **kwargs):
print(self)
print(args)
print(kwargs)
obj=Foo()
#1、要想让obj这个对象变成一个可调用的对象,需要在该对象的类中定义一个方法__call__方法,该方法会在调用对象时自动触发
#2、调用obj的返回值就是__call__方法的返回值
res=obj(1,2,3,x=1,y=2)
由上例得知,调用一个对象,就是触发对象所在类中的__call__方法的执行,如果把StanfordTeacher也当做一个对象,那么在StanfordTeacher这个对象的类中也必然存在一个__call__方法
class Mymeta(type): #只有继承了type类才能称之为一个元类,否则就是一个普通的自定义类
def __call__(self, *args, **kwargs):
print(self) #<class '__main__.StanfordTeacher'>
print(args) #('lili', 18)
print(kwargs) #{}
return 123
class StanfordTeacher(object,metaclass=Mymeta):
school='Stanford'
def __init__(self,name,age):
self.name=name
self.age=age
def say(self):
print('%s says welcome to the Stanford to learn Python' %self.name)
# 调用StanfordTeacher就是在调用StanfordTeacher类中的__call__方法
# 然后将StanfordTeacher传给self,溢出的位置参数传给*,溢出的关键字参数传给**
# 调用StanfordTeacher的返回值就是调用__call__的返回值
t1=StanfordTeacher('lili',18)
print(t1) #123
默认地,调用t1=StanfordTeacher('lili',18)会做三件事
1、产生一个空对象obj
2、调用__init__方法初始化对象obj
3、返回初始化好的obj
对应着,StanfordTeacher类中的__call__方法也应该做这三件事
class Mymeta(type): #只有继承了type类才能称之为一个元类,否则就是一个普通的自定义类
def __call__(self, *args, **kwargs): #self=<class '__main__.StanfordTeacher'>
#1、调用__new__产生一个空对象obj
obj=self.__new__(self) # 此处的self是类OldoyTeacher,必须传参,代表创建一个StanfordTeacher的对象obj
#2、调用__init__初始化空对象obj
self.__init__(obj,*args,**kwargs)
#3、返回初始化好的对象obj
return obj
class StanfordTeacher(object,metaclass=Mymeta):
school='Stanford'
def __init__(self,name,age):
self.name=name
self.age=age
def say(self):
print('%s says welcome to the Stanford to learn Python' %self.name)
t1=StanfordTeacher('lili',18)
print(t1.__dict__) #{'name': 'lili', 'age': 18}
上例的__call__相当于一个模板,我们可以在该基础上改写__call__的逻辑从而控制调用StanfordTeacher的过程,比如将StanfordTeacher的对象的所有属性都变成私有的
class Mymeta(type): #只有继承了type类才能称之为一个元类,否则就是一个普通的自定义类
def __call__(self, *args, **kwargs): #self=<class '__main__.StanfordTeacher'>
#1、调用__new__产生一个空对象obj
obj=self.__new__(self) # 此处的self是类StanfordTeacher,必须传参,代表创建一个StanfordTeacher的对象obj
#2、调用__init__初始化空对象obj
self.__init__(obj,*args,**kwargs)
# 在初始化之后,obj.__dict__里就有值了
obj.__dict__={'_%s__%s' %(self.__name__,k):v for k,v in obj.__dict__.items()}
#3、返回初始化好的对象obj
return obj
class StanfordTeacher(object,metaclass=Mymeta):
school='Stanford'
def __init__(self,name,age):
self.name=name
self.age=age
def say(self):
print('%s says welcome to the Stanford to learn Python' %self.name)
t1=StanfordTeacher('lili',18)
print(t1.__dict__) #{'_StanfordTeacher__name': 'lili', '_StanfordTeacher__age': 18}
上例中涉及到查找属性的问题,比如self.__new__,请看下一小节
再看属性查找
结合python继承的实现原理+元类重新看属性的查找应该是什么样子呢???
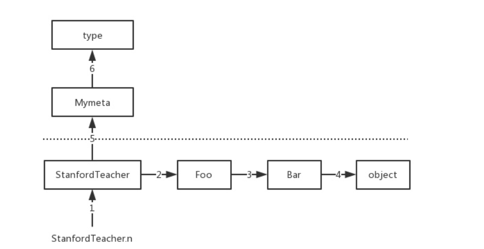
在学习完元类后,其实我们用class自定义的类也全都是对象(包括object类本身也是元类type的 一个实例,可以用type(object)查看),我们学习过继承的实现原理,如果把类当成对象去看,将下述继承应该说成是:对象StanfordTeacher继承对象Foo,对象Foo继承对象Bar,对象Bar继承对象object
class Mymeta(type): #只有继承了type类才能称之为一个元类,否则就是一个普通的自定义类
n=444
def __call__(self, *args, **kwargs): #self=<class '__main__.StanfordTeacher'>
obj=self.__new__(self)
self.__init__(obj,*args,**kwargs)
return obj
class Bar(object):
n=333
class Foo(Bar):
n=222
class StanfordTeacher(Foo,metaclass=Mymeta):
n=111
school='Stanford'
def __init__(self,name,age):
self.name=name
self.age=age
def say(self):
print('%s says welcome to the Stanford to learn Python' %self.name)
print(StanfordTeacher.n) #自下而上依次注释各个类中的n=xxx,然后重新运行程序,发现n的查找顺序为StanfordTeacher->Foo->Bar->object->Mymeta->type
于是属性查找应该分成两层,一层是对象层(基于c3算法的MRO)的查找,另外一个层则是类层(即元类层)的查找

查找顺序:
1、先对象层:StanfordTeacher->Foo->Bar->object
2、然后元类层:Mymeta->type
依据上述总结,我们来分析下元类Mymeta中__call__里的self.__new__的查找
class Mymeta(type):
n=444
def __call__(self, *args, **kwargs): #self=<class '__main__.StanfordTeacher'>
obj=self.__new__(self)
print(self.__new__ is object.__new__) #True
class Bar(object):
n=333
# def __new__(cls, *args, **kwargs):
# print('Bar.__new__')
class Foo(Bar):
n=222
# def __new__(cls, *args, **kwargs):
# print('Foo.__new__')
class StanfordTeacher(Foo,metaclass=Mymeta):
n=111
school='Stanford'
def __init__(self,name,age):
self.name=name
self.age=age
def say(self):
print('%s says welcome to the Stanford to learn Python' %self.name)
# def __new__(cls, *args, **kwargs):
# print('StanfordTeacher.__new__')
StanfordTeacher('lili',18) #触发StanfordTeacher的类中的__call__方法的执行,进而执行self.__new__开始查找
总结,Mymeta下的__call__里的self.__new__在StanfordTeacher、Foo、Bar里都没有找到__new__的情况下,会去找object里的__new__,而object下默认就有一个__new__,所以即便是之前的类均未实现__new__,也一定会在object中找到一个,根本不会、也根本没必要再去找元类Mymeta->type中查找__new__
我们在元类的__call__中也可以用object.__new__(self)去造对象

但我们还是推荐在__call__中使用self.__new__(self)去创造空对象,因为这种方式会检索三个类StanfordTeacher->Foo->Bar,而object.__new__则是直接跨过了他们三个
最后说明一点
class Mymeta(type): #只有继承了type类才能称之为一个元类,否则就是一个普通的自定义类
n=444
def __new__(cls, *args, **kwargs):
obj=type.__new__(cls,*args,**kwargs) # 必须按照这种传值方式
print(obj.__dict__)
# return obj # 只有在返回值是type的对象时,才会触发下面的__init__
return 123
def __init__(self,class_name,class_bases,class_dic):
print('run。。。')
class StanfordTeacher(object,metaclass=Mymeta): #StanfordTeacher=Mymeta('StanfordTeacher',(object),{...})
n=111
school='Stanford'
def __init__(self,name,age):
self.name=name
self.age=age
def say(self):
print('%s says welcome to the Stanford to learn Python' %self.name)
print(type(Mymeta)) #<class 'type'>
# 产生类StanfordTeacher的过程就是在调用Mymeta,而Mymeta也是type类的一个对象,那么Mymeta之所以可以调用,一定是在元类type中有一个__call__方法
# 该方法中同样需要做至少三件事:
# class type:
# def __call__(self, *args, **kwargs): #self=<class '__main__.Mymeta'>
# obj=self.__new__(self,*args,**kwargs) # 产生Mymeta的一个对象
# self.__init__(obj,*args,**kwargs)
# return obj
浙公网安备 33010602011771号