Python继承与派生
继承介绍
继承是一种创建新类的方式,在Python中,新建的类可以继承一个或多个父类,新建的类可称为子类或派生类,父类又可称为基类或超类
class ParentClass1: #定义父类
    pass
class ParentClass2: #定义父类
    pass
class SubClass1(ParentClass1): #单继承
    pass
class SubClass2(ParentClass1,ParentClass2): #多继承
    pass
通过类的内置属性__bases__可以查看类继承的所有父类
>>> SubClass2.__bases__
(<class '__main__.ParentClass1'>, <class '__main__.ParentClass2'>)
在Python2中有经典类与新式类之分,没有显式地继承object类的类,以及该类的子类,都是经典类,显式地继承object的类,以及该类的子类,都是新式类。而在Python3中,即使没有显式地继承object,也会默认继承该类,如下
>>> ParentClass1.__bases__
(<class ‘object'>,)
>>> ParentClass2.__bases__
(<class 'object'>,)
因而在Python3中统一都是新式类,关于经典类与新式类的区别,我们稍后讨论。
提示:object类提供了一些常用内置方法的实现,如用来在打印对象时返回字符串的内置方法__str__。
继承与抽象
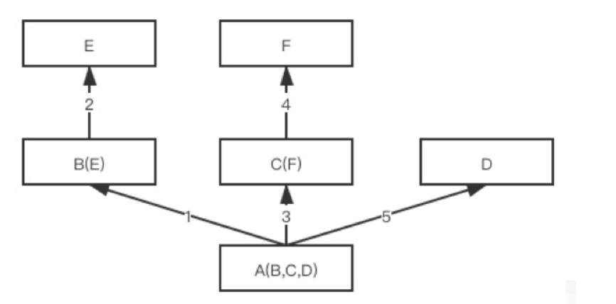
要找出类与类之间的继承关系,需要先抽象,再继承。抽象即总结相似之处,总结对象之间的相似之处得到类,总结类与类之间的相似之处就可以得到父类,如下图所示

基于抽象的结果,我们就找到了继承关系

基于上图我们可以看出类与类之间的继承指的是什么’是’什么的关系(比如人类,猪类,猴类都是动物类)。子类可以继承/遗传父类所有的属性,因而继承可以用来解决类与类之间的代码重用性问题。比如我们按照定义Student类的方式再定义一个Teacher类
class Teacher:
    school='清华大学'
    def __init__(self,name,sex,age):
        self.name=name
        self.sex=sex
        self.age=age
    def teach(self):
        print('%s is teaching' %self.name)
类Teacher与Student之间存在重复的代码,老师与学生都是人类,所以我们可以得出如下继承关系,实现代码重用
class People:
    school='清华大学'
    def __init__(self,name,sex,age):
        self.name=name
        self.sex=sex
        self.age=age
class Student(People):
    def choose(self):
        print('%s is choosing a course' %self.name)
class Teacher(People):
    def teach(self):
        print('%s is teaching' %self.name)
Teacher类内并没有定义__init__方法,但是会从父类中找到__init__,因而仍然可以正常实例化,如下
>>> teacher1=Teacher('lili','male',18)
>>> teacher1.school,teacher1.name,teacher1.sex,teacher1.age
('清华大学', 'lili', 'male', 18)
属性查找
有了继承关系,对象在查找属性时,先从对象自己的__dict__中找,如果没有则去子类中找,然后再去父类中找……
class Foo:
    def f1(self):
        print('Foo.f1')
    def f2(self):
        print('Foo.f2')
        self.f1()
class Bar(Foo):
    def f1(self):
        print('Bar.f1')
b=Bar()
b.f2()
Foo.f2
Bar.f1
b.f2()会在父类Foo中找到f2,先打印Foo.f2,然后执行到self.f1(),即b.f1(),仍会按照:对象本身->类Bar->父类Foo的顺序依次找下去,在类Bar中找到f1,因而打印结果为Bar.f1
父类如果不想让子类覆盖自己的方法,可以采用双下划线开头的方式将方法设置为私有的
>>> class Foo:
...     def __f1(self): # 变形为_Foo__fa
...         print('Foo.f1') 
...     def f2(self):
...         print('Foo.f2')
...         self.__f1() # 变形为self._Foo__fa,因而只会调用自己所在的类中的方法
... 
>>> class Bar(Foo):
...     def __f1(self): # 变形为_Bar__f1
...         print('Foo.f1')
... 
>>> 
>>> b=Bar()
>>> b.f2() #在父类中找到f2方法,进而调用b._Foo__f1()方法,同样是在父类中找到该方法
Foo.f2
Foo.f1
继承的实现原理
菱形问题
 大多数面向对象语言都不支持多继承,而在Python中,一个子类是可以同时继承多个父类的,这固然可以带来一个子类可以对多个不同父类加以重用的好处,但也有可能引发著名的 Diamond problem菱形问题(或称钻石问题,有时候也被称为“死亡钻石”),菱形其实就是对下面这种继承结构的形象比喻

A类在顶部,B类和C类分别位于其下方,D类在底部将两者连接在一起形成菱形。
注意:不包括A类是object 的情况哦。
这种继承结构下导致的问题称之为菱形问题:如果A中有一个方法,B和/或C都重写了该方法,而D没有重写它,那么D继承的是哪个版本的方法:B的还是C的?如下所示
class A(object):
    def test(self):
        print('from A')
class B(A):
    def test(self):
        print('from B')
class C(A):
    def test(self):
        print('from C')
class D(B,C):
    pass
obj = D()
obj.test() # 结果为:from B
要想搞明白obj.test()是如何找到方法test的,需要了解python的继承实现原理
继承原理
python到底是如何实现继承的呢? 对于你定义的每一个类,Python都会计算出一个方法解析顺序(MRO)列表,该MRO列表就是一个简单的所有基类的线性顺序列表,如下
>>> D.mro() # 新式类内置了mro方法可以查看线性列表的内容,经典类没有该内置该方法
[<class '__main__.D'>, <class '__main__.B'>, <class '__main__.C'>, <class '__main__.A'>, <class 'object'>]
python会在MRO列表上从左到右开始查找基类,直到找到第一个匹配这个属性的类为止。 而这个MRO列表的构造是通过一个C3线性化算法来实现的。我们不去深究这个算法的数学原理,它实际上就是合并所有父类的MRO列表并遵循如下三条准则:
1.子类会先于父类被检查
2.多个父类会根据它们在列表中的顺序被检查
3.如果对下一个类存在两个合法的选择,选择第一个父类
所以obj.test()的查找顺序是,先从对象obj本身的属性里找方法test,没有找到,则参照属性查找的发起者(即obj)所处类D的MRO列表来依次检索,首先在类D中未找到,然后再B中找到方法test。
ps:
1.由对象发起的属性查找,会从对象自身的属性里检索,没有则会按照对象的类.mro()规定的顺序依次找下去,
2.由类发起的属性查找,会按照当前类.mro()规定的顺序依次找下去,
深度优先和广度优先
参照下述代码,多继承结构为非菱形结构,此时,会按照先找B这一条分支,然后再找C这一条分支,最后找D这一条分支的顺序直到找到我们想要的属性

class E:
    def test(self):
        print('from E')
class F:
    def test(self):
        print('from F')
class B(E):
    def test(self):
        print('from B')
class C(F):
    def test(self):
        print('from C')
class D:
    def test(self):
        print('from D')
class A(B, C, D):
    # def test(self):
    #     print('from A')
    pass
print(A.mro())
'''
[<class '__main__.A'>, <class '__main__.B'>, <class '__main__.E'>, <class '__main__.C'>, <class '__main__.F'>, <class '__main__.D'>, <class 'object'>]
'''
# A->B->E->C->F-D
obj = A()
obj.test() # 结果为:from B
# 可依次注释上述类中的方法test来进行验证
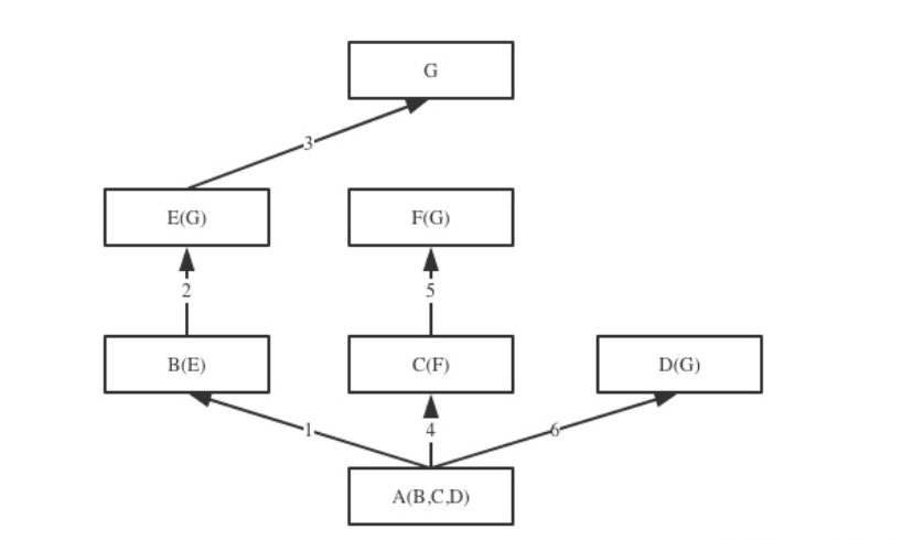
如果继承关系为菱形结构,那么经典类与新式类会有不同MRO,分别对应属性的两种查找方式:深度优先和广度优先。
经典类=>深度优先。
新式类=>广度优先。
Python 2.x中默认都是经典类,只有显式继承了object才是新式类。
Python 3.x中默认都是新式类,不必显式的继承object。

当类是经典类时,多继承情况下,在要查询属性不存在时,会按照深度优先的方式查找下去。
class G: # 在python2中,未继承object的类及其子类,都是经典类
    def test(self):
        print('from G')
class E(G):
    def test(self):
        print('from E')
class F(G):
    def test(self):
        print('from F')
class B(E):
    def test(self):
        print('from B')
class C(F):
    def test(self):
        print('from C')
class D(G):
    def test(self):
        print('from D')
class A(B,C,D):
    # def test(self):
    #     print('from A')
    pass
obj = A()
obj.test() # 如上图,查找顺序为:obj->A->B->E->G->C->F->D->object
# 可依次注释上述类中的方法test来进行验证,注意请在python2.x中进行测试

当类是新式类时,多继承情况下,在要查询属性不存在时,会按照广度优先的方式查找下去。
class G(object):
    def test(self):
        print('from G')
class E(G):
    def test(self):
        print('from E')
class F(G):
    def test(self):
        print('from F')
class B(E):
    def test(self):
        print('from B')
class C(F):
    def test(self):
        print('from C')
class D(G):
    def test(self):
        print('from D')
class A(B,C,D):
    # def test(self):
    #     print('from A')
    pass
obj = A()
obj.test() # 如上图,查找顺序为:obj->A->B->E->C->F->D->G->object
# 可依次注释上述类中的方法test来进行验证
Pyton Mixins机制
 一个子类可以同时继承多个父类,这样的设计常被人诟病,一来它有可能导致可恶的菱形问题,二来在人的世界观里继承应该是个”is-a”关系。 比如轿车类之所以可以继承交通工具类,是因为基于人的世界观,我们可以说:轿车是一个(“is-a”)交通工具,而在人的世界观里,一个物品不可能是多种不同的东西,因此多重继承在人的世界观里是说不通的,它仅仅只是代码层面的逻辑。不过有没有这种情况,一个类的确是需要继承多个类呢?
 答案是有,我们还是拿交通工具来举例子:
 民航飞机、直升飞机、轿车都是一个(is-a)交通工具,前两者都有一个功能是飞行fly,但是轿车没有,所以如下所示我们把飞行功能放到交通工具这个父类中是不合理的
class Vehicle:  # 交通工具
    def fly(self):
        '''
        飞行功能相应的代码        
        '''
        print("I am flying")
class CivilAircraft(Vehicle):  # 民航飞机
    pass
class Helicopter(Vehicle):  # 直升飞机
    pass
class Car(Vehicle):  # 汽车并不会飞,但按照上述继承关系,汽车也能飞了
    pass
 但是如果民航飞机和直升机都各自写自己的飞行fly方法,又违背了代码尽可能重用的原则(如果以后飞行工具越来越多,那会重复代码将会越来越多)。
 怎么办???为了尽可能地重用代码,那就只好在定义出一个飞行器的类,然后让民航飞机和直升飞机同时继承交通工具以及飞行器两个父类,这样就出现了多重继承。这时又违背了继承必须是”is-a”关系。这个难题该怎么解决?
 不同的语言给出了不同的方法,让我们先来了解Java的处理方法。Java提供了接口interface功能,来实现多重继承:
// 抽象基类:交通工具类
public abstract class Vehicle {
}
// 接口:飞行器
public interface Flyable {
    public void fly();
}
// 类:实现了飞行器接口的类,在该类中实现具体的fly方法,这样下面民航飞机与直升飞机在实现fly时直接重用即可
public class FlyableImpl implements Flyable {
    public void fly() {
        System.out.println("I am flying");
    }
}
// 民航飞机,继承自交通工具类,并实现了飞行器接口
public class CivilAircraft extends Vehicle implements Flyable {
    private Flyable flyable;
    public CivilAircraft() {
        flyable = new FlyableImpl();
    }
    public void fly() {
        flyable.fly();
    }
}
// 直升飞机,继承自交通工具类,并实现了飞行器接口
public class Helicopter extends Vehicle implements Flyable {
    private Flyable flyable;
    public Helicopter() {
        flyable = new FlyableImpl();
    }
    public void fly() {
        flyable.fly();
    }
}
// 汽车,继承自交通工具类,
public class Car extends Vehicle {
}
现在我们的飞机同时具有了交通工具及飞行器两种属性,而且我们不需要重写飞行器中的飞行方法,同时我们没有破坏单一继承的原则。飞机就是一种交通工具,可飞行的能力是飞机的属性,通过继承接口来获取。
回到主题,Python语言可没有接口功能,但Python提供了Mixins机制,简单来说Mixins机制指的是子类混合(mixin)不同类的功能,而这些类采用统一的命名规范(例如Mixin后缀),以此标识这些类只是用来混合功能的,并不是用来标识子类的从属"is-a"关系的,所以Mixins机制本质仍是多继承,但同样遵守”is-a”关系,如下
class Vehicle:  # 交通工具
    pass
class FlyableMixin:
    def fly(self):
        '''
        飞行功能相应的代码        
        '''
        print("I am flying")
class CivilAircraft(FlyableMixin, Vehicle):  # 民航飞机
    pass
class Helicopter(FlyableMixin, Vehicle):  # 直升飞机
    pass
class Car(Vehicle):  # 汽车
    pass
# ps: 采用某种规范(如命名规范)来解决具体的问题是python惯用的套路
可以看到,上面的CivilAircraft、Helicopter类实现了多继承,不过它继承的第一个类我们起名为FlyableMixin,而不是Flyable,这个并不影响功能,但是会告诉后来读代码的人,这个类是一个Mixin类,表示混入(mix-in),这种命名方式就是用来明确地告诉别人(python语言惯用的手法),这个类是作为功能添加到子类中,而不是作为父类,它的作用同Java中的接口。所以从含义上理解,CivilAircraft、Helicopter类都只是一个Vehicle,而不是一个飞行器。
使用Mixin类实现多重继承要非常小心
- 首先它必须表示某一种功能,而不是某个物品,python 对于mixin类的命名方式一般以 Mixin, able, ible 为后缀
 - 其次它必须责任单一,如果有多个功能,那就写多个Mixin类,一个类可以继承多个Mixin,为了保证遵循继承的“is-a”原则,只能继承一个标识其归属含义的父类
 - 然后,它不依赖于子类的实现
 - 最后,子类即便没有继承这个Mixin类,也照样可以工作,就是缺少了某个功能。(比如飞机照样可以载客,就是不能飞了)
 
 Mixins是从多个类中重用代码的好方法,但是需要付出相应的代价,我们定义的Minx类越多,子类的代码可读性就会越差,并且更恶心的是,在继承的层级变多时,代码阅读者在定位某一个方法到底在何处调用时会晕头转向,如下
class Displayer:
    def display(self, message):
        print(message)
class LoggerMixin:
    def log(self, message, filename='logfile.txt'):
        with open(filename, 'a') as fh:
            fh.write(message)
    def display(self, message):
        super().display(message) # super的用法请参考下一小节
        self.log(message)
class MySubClass(LoggerMixin, Displayer):
    def log(self, message):
        super().log(message, filename='subclasslog.txt') 
obj = MySubClass()
obj.display("This string will be shown and logged in subclasslog.txt")
# 属性查找的发起者是obj,所以会参照类MySubClass的MRO来检索属性
#[<class '__main__.MySubClass'>, <class '__main__.LoggerMixin'>, <class '__main__.Displayer'>, <class 'object'>]
# 1、首先会去对象obj的类MySubClass找方法display,没有则去类LoggerMixin中找,找到开始执行代码
# 2、执行LoggerMixin的第一行代码:执行super().display(message),参照MySubClass.mro(),super会去下一个类即类Displayer中找,找到display,开始执行代码,打印消息"This string will be shown and logged in subclasslog.txt"
# 3、执行LoggerMixin的第二行代码:self.log(message),self是对象obj,即obj.log(message),属性查找的发起者为obj,所以会按照其类MySubClass.mro(),即MySubClass->LoggerMixin->Displayer->object的顺序查找,在MySubClass中找到方法log,开始执行super().log(message, filename='subclasslog.txt'),super会按照MySubClass.mro()查找下一个类,在类LoggerMixin中找到log方法开始执行,最终将日志写入文件subclasslog.txt
ps:课外了解小知识
Java只允许接口的多重继承。接口本质上是抽象基类,具有所有抽象方法,没有数据成员。
与java一样,python也有抽象类的概念但是同样需要借助模块实现,抽象类是一个特殊的类,它的特殊之处在于只能被继承,不能被实例化,继承的子类必须实现抽象基类规定的方法,这样便可保证始终只有一个特定方法或属性的实现,并且不会产生歧义,因而也可以起到避免菱形问题的作用
java的interface:https://www.cnblogs.com/linhaifeng/articles/7340153.html#_label6
python的抽象基类:https://www.cnblogs.com/linhaifeng/articles/7340153.html#_label7
派生与方法重用
子类可以派生出自己新的属性,在进行属性查找时,子类中的属性名会优先于父类被查找,例如每个老师还有职称这一属性,我们就需要在Teacher类中定义该类自己的__init__覆盖父类的
>>> class People:
...     school='清华大学'
...     
...     def __init__(self,name,sex,age):
...         self.name=name
...         self.sex=sex
...         self.age=age
... 
>>> class Teacher(People):
...     def __init__(self,name,sex,age,title): # 派生
...         self.name=name
...         self.sex=sex
...         self.age=age
...         self.title=title
...     def teach(self):
...         print('%s is teaching' %self.name)
... 
>>> obj=Teacher('lili','female',28,'高级讲师') #只会找自己类中的__init__,并不会自动调用父类的
>>> obj.name,obj.sex,obj.age,obj.title
('lili', 'female', 28, '高级讲师')
很明显子类Teacher中__init__内的前三行又是在写重复代码,若想在子类派生出的方法内重用父类的功能,有两种实现方式
方法一:“指名道姓”地调用某一个类的函数
>>> class Teacher(People):
...     def __init__(self,name,sex,age,title):
...         People.__init__(self,name,age,sex) #调用的是函数,因而需要传入self
...         self.title=title
...     def teach(self):
...         print('%s is teaching' %self.name)
...
方法二:super()
调用super()会得到一个特殊的对象,该对象专门用来引用父类的属性,且严格按照MRO规定的顺序向后查找
>>> class Teacher(People):
...     def __init__(self,name,sex,age,title):
...         super().__init__(name,age,sex) #调用的是绑定方法,自动传入self
...         self.title=title
...     def teach(self):
...         print('%s is teaching' %self.name)
...
提示:在Python2中super的使用需要完整地写成super(自己的类名,self) ,而在python3中可以简写为super()。
这两种方式的区别是:方式一是跟继承没有关系的,而方式二的super()是依赖于继承的,并且即使没有直接继承关系,super()仍然会按照MRO继续往后查找
>>> #A没有继承B
... class A:
...     def test(self):
...         super().test()
... 
>>> class B:
...     def test(self):
...         print('from B')
... 
>>> class C(A,B):
...     pass
... 
>>> C.mro() # 在代码层面A并不是B的子类,但从MRO列表来看,属性查找时,就是按照顺序C->A->B->object,B就相当于A的“父类”
[<class '__main__.C'>, <class '__main__.A'>, <class '__main__.B'>,<class ‘object'>]
>>> obj=C()
>>> obj.test() # 属性查找的发起者是类C的对象obj,所以中途发生的属性查找都是参照C.mro()
from B
obj.test()首先找到A下的test方法,执行super().test()会基于MRO列表(以C.mro()为准)当前所处的位置继续往后查找(),然后在B中找到了test方法并执行。
关于在子类中重用父类功能的这两种方式,使用任何一种都可以,但是在最新的代码中还是推荐使用super()
组合
在一个类中以另外一个类的对象作为数据属性,称为类的组合。组合与继承都是用来解决代码的重用性问题。不同的是:继承是一种“是”的关系,比如老师是人、学生是人,当类之间有很多相同的之处,应该使用继承;而组合则是一种“有”的关系,比如老师有生日,老师有多门课程,当类之间有显著不同,并且较小的类是较大的类所需要的组件时,应该使用组合,如下示例
class Course:
    def __init__(self,name,period,price):
        self.name=name
        self.period=period
        self.price=price
    def tell_info(self):
        print('<%s %s %s>' %(self.name,self.period,self.price))
class Date:
    def __init__(self,year,mon,day):
        self.year=year
        self.mon=mon
        self.day=day
    def tell_birth(self):
       print('<%s-%s-%s>' %(self.year,self.mon,self.day))
class People:
    school='清华大学'
    def __init__(self,name,sex,age):
        self.name=name
        self.sex=sex
        self.age=age
#Teacher类基于继承来重用People的代码,基于组合来重用Date类和Course类的代码
class Teacher(People): #老师是人
    def __init__(self,name,sex,age,title,year,mon,day):
        super().__init__(name,age,sex)
        self.birth=Date(year,mon,day) #老师有生日
        self.courses=[] #老师有课程,可以在实例化后,往该列表中添加Course类的对象
    def teach(self):
        print('%s is teaching' %self.name)
python=Course('python','3mons',3000.0)
linux=Course('linux','5mons',5000.0)
teacher1=Teacher('lili','female',28,'博士生导师',1990,3,23)
# teacher1有两门课程
teacher1.courses.append(python)
teacher1.courses.append(linux)
# 重用Date类的功能
teacher1.birth.tell_birth()
# 重用Course类的功能
for obj in teacher1.courses: 
    obj.tell_info()
此时对象teacher1集对象独有的属性、Teacher类中的内容、Course类中的内容于一身(都可以访问到),是一个高度整合的产物.
                    
                
                
            
        
浙公网安备 33010602011771号