并发编程
并发模型



| 协程 | 线程 | |
|---|---|---|
| 创建数量 | 轻松创建上百万个协程而不会导致系统资源衰竭 | 通常最多不能超过1万个 |
| 内存占用 | 初始分配4k堆栈,随着程序的执行自动增长删除 | 创建线程时必须指定堆栈且是固定的,通常以M为单位 |
| 切换成本 | 协程切换只需保存三个寄存器,耗时约200纳秒 | 线程切换需要保存几十个寄存器,耗时约1000纳秒 |
| 调度方式 | 非抢占式,由Go runtime主动交出控制权(对于开发者而言是抢占式) | 在时间片用完后,由 CPU 中断任务强行将其调度走,这时必须保存很多信息 |
| 创建销毁 | goroutine因为是由Go runtime负责管理的,创建和销毁的消耗非常小,是用户级的 | 创建和销毁开销巨大,因为要和操作系统打交道,是内核级的,通常解决的办法就是线程池 |
查看逻辑核心数
fmt.Println(runtime.NumCPU())
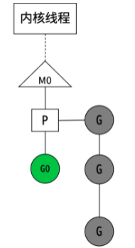
Go语言的MPG并发模型

M(Machine)对应一个内核线程。P(Processor)虚拟处理器,代表M所需的上下文环境,是处理用户级代码逻辑的处理器。P的数量由环境变量中的GOMAXPROCS决定,默认情况下就是核数。G(Goroutine)本质上是轻量级的线程,G0正在执行,其他G在等待。M和内核线程的对应关系是确定的。G0阻塞(如系统调用)时,P与G0、M0解绑,P被挂到其他M上,然后继续执行G队列。G0解除阻塞后,如果有空闲的P,就绑定M0并执行G0;否则G0进入全局可运行队列(runqueue)。P会周期性扫描全局runqueue,使上面的G得到执行;如果全局runqueue为空,就从其他P的等待队列里偷一半G过来。

Goroutine的使用
启动协程的两种常见方式:
func Add(a, b int) int {
fmt.Println("Add")
return a + b
}
go Add(2, 4)
go func(a, b int) int {
fmt.Println("add")
return a + b
}(2, 4)
优雅地等子协程结束:
wg := sync.WaitGroup{}
wg.Add(10) //加10
for i := 0; i < 10; i++ {
go func(a, b int) { //开N个子协程
defer wg.Done() //减1
//do something
}(i, i+1)
}
wg.Wait() //等待减为0
父协程结束后,子协程并不会结束。main协程结束后,所有协程都会结束。 向协程内传递变量
package main
import (
"fmt"
"time"
)
func main() {
arr := []int{1, 2, 3, 4}
for _, v := range arr {
go func() {
fmt.Printf("%d\t", v) //用的是协程外面的全局变量v。输出4 4 4 4
}()
}
time.Sleep(time.Duration(1) * time.Second)
fmt.Println()
for _, v := range arr {
go func(value int) {
fmt.Printf("%d\t", value) //输出1 4 2 3
}(v) //把v的副本传到协程内部
}
time.Sleep(time.Duration(1) * time.Second)
fmt.Println()
}
有时候需要确保在高并发的场景下有些事情只执行一次,比如加载配置文件、关闭管道等。
var resource map[string]string
var loadResourceOnce sync.Once func LoadResource() {
loadResourceOnce.Do(func() {
resource["1"] = "A"
})
}
单例模式
type Singleton struct {}
var singleton *Singleton
var singletonOnce sync.Once
func GetSingletonInstance() *Singleton {
singletonOnce.Do(func() {
singleton = &Singleton{}
})
return singleton
}
何时会发生panic:
-
运行时错误会导致panic,比如数组越界、除0。
-
程序主动调用panic(error)。
panic会执行什么:
-
逆序执行当前goroutine的defer链(recover从这里介入)。
-
打印错误信息和调用堆栈。
-
调用exit(2)结束整个进程。
关于defer
-
defer在函数退出前被调用,注意不是在代码的return语句之前执行,因为return语句不是原子操作。
-
如果发生panic,则之后注册的defer不会执行。
-
defer服从先进后出原则,即一个函数里如果注册了多个defer,则按注册的逆序执行。
-
defer后面可以跟一个匿名函数。
func goo(x int) int {
fmt.Printf("x=%d\n", x)
return x
}
func foo(a, b int, p bool) int {
c := a*3 + 9
//defer是先进后出,即逆序执行
defer fmt.Println("first defer")
d := c + 5
defer fmt.Println("second defer")
e := d / b //如果发生panic,则后面的defer不会执行
if p {
panic(errors.New("my error")) //主动panic
}
defer fmt.Println("third defer")
return goo(e) //defer是在函数临退出前执行,不是在代码的return语句之前执行,因为return语句不是原子操作
}
recover会阻断panic的执行。
func soo(a, b int) {
defer func() {
//recover必须在defer中才能生效
if err := recover(); err != nil {
fmt.Printf("soo函数中发生了panic:%s\n", err)
}
}()
panic(errors.New("my error"))
}
Channel的同步与异步
很多语言通过共享内存来实现线程间的通信,通过加锁来访问共享数据,如数组、map或结构体。go语言也实现了这种并发模型。

CSP(communicating sequential processes)讲究的是“以通信的方式来共享内存”,在go语言里channel是这种模式的具体实现。

异步管道
asynChann := make(chan int, 8)
channel底层维护一个环形队列(先进先出),make初始化时指定队列的长度。队列满时,写阻塞;队列空时,读阻塞。sendx指向下一次写入的位置, recvx指向下一次读取的位置。 recvq维护因读管道而被阻塞的协程,sendq维护因写管道而被阻塞的协程。

同步管道可以认为队列容量为0,当读协程和写协程同时就绪时它们才会彼此帮对方解除阻塞。
syncChann := make(chan int)
channel仅作为协程间同步的工具,不需要传递具体的数据,管道类型可以用struct{}。空结构体变量的内存占用为0,因此struct{}类型的管道比bool类型的管道还要省内存。
sc := make(chan struct{})
sc <- struct{}{}
关于channel的死锁与阻塞
-
Channel满了,就阻塞写;Channel空了,就阻塞读。
-
阻塞之后会交出cpu,去执行其他协程,希望其他协程能帮自己解除阻塞。
-
如果阻塞发生在main协程里,并且没有其他子协程可以执行,那就可以确定“希望永远等不来”,自已把自己杀掉,报一个fatal error:deadlock出来。
-
如果阻塞发生在子协程里,就不会发生死锁,因为至少main协程是一个值得等待的“希望”,会一直等(阻塞)下去。
package main
import (
"fmt"
"time"
)
func main() {
ch := make(chan struct{}, 1)
ch <- struct{}{} //有1个缓冲可以用,无需阻塞,可以立即执行
go func() { //子协程1
time.Sleep(5 * time.Second) //sleep一个很长的时间
<-ch //如果把本行代码注释掉,main协程5秒钟后会报fatal error
fmt.Println("sub routine 1 over")
}()
ch <- struct{}{} //由于子协程1已经启动,寄希望于子协程1帮自己解除阻塞,所以会一直等子协程1执行结束。如果子协程1执行结束后没帮自己解除阻塞,则希望完全破灭,报出deadlock
fmt.Println("send to channel in main routine")
go func() { //子协程2
time.Sleep(2 * time.Second)
ch <- struct{}{} //channel已满,子协程2会一直阻塞在这一行
fmt.Println("sub routine 2 over")
}()
time.Sleep(3 * time.Second)
fmt.Println("main routine exit")
}
关闭channel
-
只有当管道关闭时,才能通过range遍历管道里的数据,否则会发生fatal error。
-
管道关闭后读操作会立即返回,如果缓冲已空会返回“0值”。
-
ele, ok := <-ch ok==true代表ele是管道里的真实数据。
-
向已关闭的管道里send数据会发生panic。
-
不能重复关闭管道,不能关闭值为nil的管道,否则都会panic。
package main
import (
"fmt"
"time"
)
var cloch = make(chan int, 1)
var cloch2 = make(chan int, 1)
func traverseChannel() {
for ele := range cloch {
fmt.Printf("receive %d\n", ele)
}
fmt.Println()
}
func traverseChannel2() {
for {
if ele, ok := <-cloch2; ok { //ok==true代表管道还没有close
fmt.Printf("receive %d\n", ele)
} else { //管道关闭后,读操作会立即返回“0值”
fmt.Printf("channel have been closed, receive %d\n", ele)
break
}
}
}
func main() {
cloch <- 1
close(cloch)
traverseChannel() //如果不close就直接通过range遍历管道,会发生fatal error: all goroutines are asleep - deadlock!
fmt.Println("==================")
go traverseChannel2()
cloch2 <- 1
close(cloch2)
time.Sleep(10 * time.Millisecond)
}
channel在并发编程中有多种玩法,经常用channel来实现协程间的同步。

package main
import (
"fmt"
"time"
)
func upstream(ch chan struct{}) {
time.Sleep(15 * time.Millisecond)
fmt.Println("一个上游协程执行结束")
ch <- struct{}{}
}
func downstream(ch chan struct{}) {
<-ch
fmt.Println("下游协程开始执行")
}
func main() {
upstreamNum := 4 //上游协程的数量
downstreamNum := 5 //下游协程的数量
upstreamCh := make(chan struct{}, upstreamNum)
downstreamCh := make(chan struct{}, downstreamNum)
//启动上游协程和下游协程,实际下游协程会先阻塞
for i := 0; i < upstreamNum; i++ {
go upstream(upstreamCh)
}
for i := 0; i < downstreamNum; i++ {
go downstream(downstreamCh)
}
//同步点
for i := 0; i < upstreamNum; i++ {
<-upstreamCh
}
//通过管道让下游协程开始执行
for i := 0; i < downstreamNum; i++ {
downstreamCh <- struct{}{}
}
time.Sleep(10 * time.Millisecond) //等下游协程执行结束
}
并发安全性
多协程并发修改同一块内存,产生资源竞争。go run或go build时添加-race参数检查资源竞争情况。 n++不是原子操作,并发执行时会存在脏写。n++分为3步:取出n,加1,结果赋给n。测试时需要开1000个并发协程才能观察到脏写。

func atomic.AddInt32(addr *int32, delta int32) (new int32)
func atomic.LoadInt32(addr *int32) (val int32)
把n++封装成原子操作,解除资源竞争,避免脏写。
var lock sync.RWMutex //声明读写锁,无需初始化
lock.Lock() lock.Unlock() //加写锁和释放写锁
lock.RLock() lock.RUnlock() //加读锁和释放读锁
任意时刻只可以加一把写锁,且不能加读锁。没加写锁时,可以同时加多把读锁,读锁加上之后不能再加写锁。
package main
import (
"fmt"
"sync"
"sync/atomic"
)
var n int32 = 0
var lock sync.RWMutex
func inc1() {
n++ //n++不是原子操作,它分为3步:取出n,加1,结果赋给n
}
func inc2() {
atomic.AddInt32(&n, 1) //封装成原子操作
}
func inc3() {
lock.Lock() //加写锁
n++ //任一时刻,只有一个协程能进入临界区域
lock.Unlock() //释放写锁
}
func main() {
const P = 1000 //开大量协程才能把脏写问题测出来
wg := sync.WaitGroup{}
wg.Add(P)
for i := 0; i < P; i++ {
go func() {
defer wg.Done()
inc1()
}()
}
wg.Wait()
fmt.Printf("finally n=%d\n", n) //多运行几次,n经常不等于1000
fmt.Println("===========================")
n = 0 //重置n
wg = sync.WaitGroup{}
wg.Add(P)
for i := 0; i < P; i++ {
go func() {
defer wg.Done()
inc2()
}()
}
wg.Wait()
fmt.Printf("finally n=%d\n", atomic.LoadInt32(&n))
fmt.Println("===========================")
n = 0 //重置n
wg = sync.WaitGroup{}
wg.Add(P)
for i := 0; i < P; i++ {
go func() {
defer wg.Done()
inc3()
}()
}
wg.Wait()
lock.RLock() //加读锁。当写锁被其他协程持有时,加读锁操作将被阻塞;否则,如果其他协程持有读锁,加读锁操作不会被阻塞
fmt.Printf("finally n=%d\n", n)
lock.RUnlock() //释放读锁
fmt.Println("===========================")
}
数组、slice、struct允许并发修改(可能会脏写),并发修改map有时会发生panic。如果需要并发修改map请使用sync.Map。
package main
import (
"fmt"
"sync"
)
type Student struct {
Name string
Age int32
}
var arr = [10]int{}
var m = sync.Map{}
func main() {
wg := sync.WaitGroup{}
wg.Add(2)
go func() { //写偶数位
defer wg.Done()
for i := 0; i < len(arr); i += 2 {
arr[i] = 0
}
}()
go func() { //写奇数位
defer wg.Done()
for i := 1; i < len(arr); i += 2 {
arr[i] = 1
}
}()
wg.Wait()
fmt.Println(arr) //输出[0 1 0 1 0 1 0 1 0 1]
fmt.Println("=======================")
wg.Add(2)
var stu Student
go func() {
defer wg.Done()
stu.Name = "Fred"
}()
go func() {
defer wg.Done()
stu.Age = 20
}()
wg.Wait()
fmt.Printf("%s %d\n", stu.Name, stu.Age)
fmt.Println("=======================")
wg.Add(2)
go func() {
defer wg.Done()
m.Store("k1", "v1")
}()
go func() {
defer wg.Done()
m.Store("k1", "v2")
}()
wg.Wait()
fmt.Println(m.Load("k1"))
}
多路复用
操作系统级的I/O模型有:
-
阻塞I/O
-
非阻塞I/O
-
信号驱动I/O
-
异步I/O
-
多路复用I/O Linux下,一切皆文件。包括普通文件、目录文件、字符设备文件(键盘、鼠标)、块设备文件(硬盘、光驱)、套接字socket等等。文件描述符(File descriptor,FD)是访问文件资源的抽象句柄,读写文件都要通过它。文件描述符就是个非负整数,每个进程默认都会打开3个文件描述符:0标准输入、1标准输出、2标准错误。由于内存限制,文件描述符是有上限的,可通过ulimit –n查看,文件描述符用完后应及时关闭。
阻塞I/O

非阻塞I/O

read和write默认是阻塞模式。
ssize_t read(int fd, void *buf, size_t count);
ssize_t write(int fd, const void *buf, size_t nbytes);
通过系统调用fcntl可将文件描述符设置成非阻塞模式。
int flags = fcntl(fd, F_GETFL, 0);
fcntl(fd, F_SETFL, flags | O_NONBLOCK);
多路复用I/O select系统调用可同时监听1024个文件描述符的可读或可写状态。poll用链表存储文件描述符,摆脱了1024的上限。各操作系统实现了自己的I/O多路复用函数,如epoll、 evport 和kqueue等。


go多路复用函数以netpoll为前缀,针对不同的操作系统做了不同的封装,以达到最优的性能。在编译go语言时会根据目标平台选择特定的分支进行编译。

利用go channel的多路复用实现倒计时发射的demo。

package main
import (
"fmt"
"os"
"time"
)
//倒计时
func countDown(countCh chan int, n int, finishCh chan struct{}) {
if n <= 0 { //从n开始倒数
return
}
ticker := time.NewTicker(1 * time.Second) //创建一个周期性的定时器,每隔1秒执行一次
for {
countCh <- n //把n放入管道
<-ticker.C //等1秒钟
n-- //n减1
if n <= 0 { //n减到0时退出
ticker.Stop() //停止定时器
finishCh <- struct{}{} //成功结束
break //退出for循环
}
}
}
//中止
func abort(ch chan struct{}) {
buffer := make([]byte, 1)
os.Stdin.Read(buffer) //阻塞式IO,如果标准输入里没数据,该行一直阻塞。注意在键盘上敲完后要按下Enter才会把输入发给Stdin
ch <- struct{}{}
}
func main() {
countCh := make(chan int)
finishCh := make(chan struct{})
go countDown(countCh, 10, finishCh) //开一个子协程,去往countCh和finishCh里放数据
abortCh := make(chan struct{})
go abort(abortCh) //开一个子协程,去往abortCh里放数据
LOOP:
for { //循环监听
select { //同时监听3个channel,谁先准备好就执行谁,然后进入下一次for循环
case n := <-countCh:
fmt.Println(n)
case <-finishCh:
fmt.Println("finish")
break LOOP //退出for循环。在使用for select时,单独一个break不能退出for循环
case <-abortCh:
fmt.Println("abort")
break LOOP //退出for循环
}
}
}
函数超时控制的4种实现。
package main
import (
"context"
"fmt"
"time"
)
const (
WorkUseTime = 500 * time.Millisecond
Timeout = 100 * time.Millisecond
)
//模拟一个耗时较长的任务
func LongTimeWork() {
time.Sleep(WorkUseTime)
return
}
//模拟一个接口处理函数
func Handle1() {
deadline := make(chan struct{}, 1)
workDone := make(chan struct{}, 1)
go func() { //把要控制超时的函数放到一个协程里
LongTimeWork()
workDone <- struct{}{}
}()
go func() { //把要控制超时的函数放到一个协程里
time.Sleep(Timeout)
deadline <- struct{}{}
}()
select { //下面的case只执行最早到来的那一个
case <-workDone:
fmt.Println("LongTimeWork return")
case <-deadline:
fmt.Println("LongTimeWork timeout")
}
}
//模拟一个接口处理函数
func Handle2() {
workDone := make(chan struct{}, 1)
go func() { //把要控制超时的函数放到一个协程里
LongTimeWork()
workDone <- struct{}{}
}()
select { //下面的case只执行最早到来的那一个
case <-workDone:
fmt.Println("LongTimeWork return")
case <-time.After(Timeout):
fmt.Println("LongTimeWork timeout")
}
}
//模拟一个接口处理函数
func Handle3() {
//通过显式sleep再调用cancle()来实现对函数的超时控制
//调用cancel()将关闭ctx.Done()对应的管道
ctx, cancel := context.WithCancel(context.Background())
workDone := make(chan struct{}, 1)
go func() { //把要控制超时的函数放到一个协程里
LongTimeWork()
workDone <- struct{}{}
}()
go func() {
//100毫秒后调用cancel(),关闭ctx.Done()
time.Sleep(Timeout)
cancel()
}()
select { //下面的case只执行最早到来的那一个
case <-workDone:
fmt.Println("LongTimeWork return")
case <-ctx.Done(): //ctx.Done()是一个管道,调用了cancel()都会关闭这个管道,然后读操作就会立即返回
fmt.Println("LongTimeWork timeout")
}
}
//模拟一个接口处理函数
func Handle4() {
//借助于带超时的context来实现对函数的超时控制
//调用cancel()或到达超时时间都将关闭ctx.Done()对应的管道
ctx, cancel := context.WithTimeout(context.Background(), Timeout)
defer cancel() //纯粹出于良好习惯,函数退出前调用cancel()
workDone := make(chan struct{}, 1)
go func() { //把要控制超时的函数放到一个协程里
LongTimeWork()
workDone <- struct{}{}
}()
select { //下面的case只执行最早到来的那一个
case <-workDone:
fmt.Println("LongTimeWork return")
case <-ctx.Done(): //ctx.Done()是一个管道,context超时或者调用了cancel()都会关闭这个管道,然后读操作就会立即返回
fmt.Println("LongTimeWork timeout")
}
}
func main() {
Handle1()
Handle2()
Handle3()
Handle4()
}
协程泄漏
协程阻塞,未能如期结束,导致协程数量不断攀升的现象称为协程泄漏。协程阻塞最常见的原因都跟channel有关。由于每个协程都要占用内存,所以协程泄漏也会导致内存泄漏。 routine_leaky.go
package main
import (
"context"
"fmt"
"runtime"
"time"
)
//模拟一个耗时较长的任务
func work() {
time.Sleep(time.Duration(500) * time.Millisecond)
return
}
//模拟一个接口处理函数
func handle() {
//借助于带超时的context来实现对函数的超时控制
ctx, cancel := context.WithTimeout(context.Background(), time.Millisecond*100) //改成1000试试
defer cancel() //纯粹出于良好习惯,函数退出前调用cancel()
// begin := time.Now()
workDone := make(chan struct{}) //创建一个无缓冲管道
go func() { //启动一个子协程
work()
workDone <- struct{}{} //work()结束后到,走到这行代码会一直阻塞,子协程无法结束,导致协程泄漏
}()
select { //下面的case只执行最早到来的那一个
case <-workDone: //永远执行不到
fmt.Println("LongTimeWork return")
case <-ctx.Done(): //ctx.Done()是一个管道,context超时或者调用了cancel()都会关闭这个管道,然后读操作就会立即返回
// fmt.Printf("LongTimeWork timeout %d ms\n", time.Since(begin).Milliseconds())
}
}
func main() {
for i := 0; i < 10; i++ {
handle()
}
time.Sleep(2 * time.Second) //等所有work()结束
fmt.Printf("当前协程数:%d\n", runtime.NumGoroutine()) //11,10个阻塞的子协程 加 main协程
}
在以上代码中workDone是同步管道,子协程向workDone里send数据时总是会阻塞(如果每次都超时的话),子协程因阻塞而一直不能退出,导致子协程数量不断累积。 下面讲排查协程泄漏的方法。首先在一个端口上开启http监听:
import (
"net/http"
_ "net/http/pprof"
)
func main() {
go func() {
if err := http.ListenAndServe("localhost:8080", nil); err != nil {
panic(err)
}
}()
}
上述代码在8080端口上开启了监听,那我们在本地把程序跑起来,然后在浏览器上访问127.0.0.1:8080/debug/pprof/goroutine?debug=1。

从截图上我们看到协程数量确实多得超出预期,并且明确提示出源代码第25行导致了内存泄漏。还可以通过go tool pprof定位协程泄漏,在终端运行
go tool pprof http://0.0.0.0:8080/debug/pprof/goroutine

注意上面截图中显示生成了一个文件/Users/zhangchaoyang/pprof/pprof.goroutine.001.pb.gz,后面我们会用到它。从截图可以看到main.handle.func1创建的协程最多,通过list命令查看这个函数里到底是哪行代码导致的协程泄漏

也可能通过traces打印调用堆栈,下面截图显示main.handle.func1由于调用了chansend1而阻塞了1132个协程。

在pprof中输入web命令,相当于是traces命令的可视化。

其实终端执行
go tool pprof --http=:8081 /Users/zhangchaoyang/pprof/pprof.goroutine.001.pb.gz
在source view下可看到哪行代码生成的协程最多。

协程管理
runtime.GOMAXPROCS(2) //分配2个逻辑处理器给调度器使用
runtime.Gosched() //当前goroutine从当前线程退出,并放回到队列
runtime.NumGoroutine() //查看当前存在的协程数
通过带缓冲的channel可以实现对goroutine数量的控制。
package main
import (
"fmt"
"runtime"
"time"
)
type Glimit struct {
limit int
ch chan struct{}
}
func NewGlimit(limit int) *Glimit {
return &Glimit{
limit: limit,
ch: make(chan struct{}, limit), //缓冲长度为limit,运行的协程不会超过这个值
}
}
func (g *Glimit) Run(f func()) {
g.ch <- struct{}{} //创建子协程前往管道里send一个数据
go func() {
f()
<-g.ch //子协程退出时从管理里取出一个数据
}()
}
func main() {
go func() {
//每隔1秒打印一次协程数量
ticker := time.NewTicker(1 * time.Second)
for {
<-ticker.C
fmt.Printf("当前协程数:%d\n", runtime.NumGoroutine())
}
}()
work := func() {
//do something
time.Sleep(100 * time.Millisecond)
}
glimit := NewGlimit(10) //限制协程数为10
for i := 0; i < 10000; i++ {
glimit.Run(work) //不停地通过Run创建子协程
}
time.Sleep(10 * time.Second)
}
守护协程:独立于控制终端和用户请求的协程,它一直存在,周期性执行某种任务或等待处理某些发生的事件。伴随着main协程的退出,守护协程也退出。 kill命令不是杀死进程,它只是向进程发送信号kill –s pid,s的默认值是15。常见的终止信号如下:
| 信号 | 值 | 说明 |
|---|---|---|
| SIGINT | 2 | Ctrl+C触发 |
| SIGKILL | 9 | 无条件结束程序,不能捕获、阻塞或忽略 |
| SIGTERM | 15 | 结束程序,可以捕获、阻塞或忽略 |
type Context interface {
Deadline() (deadline time.Time, ok bool)
Done() <-chan struct{}
}
func WithCancel(parent Context) (ctx Context, cancel CancelFunc)
当Context的deadline到期或调用了CancelFunc后,Context的Done()管道会关闭,该管道上关联的读操作会解除阻塞,然后执行协程退出前的清理工作。 下面的代码演示了如何优雅地退出守护协程。
package main
import (
"context"
"fmt"
"net/http"
"os"
"os/signal"
"strconv"
"sync"
"syscall"
)
var (
wg sync.WaitGroup
ctx context.Context
cancle context.CancelFunc
)
func init() {
wg = sync.WaitGroup{}
wg.Add(3) //3个子协程,1个用于接收终止信号,其他2个是业务需要的后台协程
ctx, cancle = context.WithCancel(context.Background()) //父context
}
func listenSignal() {
defer wg.Done()
c := make(chan os.Signal)
//监听指定信号 SIGINT和SIGTERM。按下control+c向进程发送SIGINT信号
signal.Notify(c, syscall.SIGINT, syscall.SIGTERM)
for {
select {
case <-ctx.Done(): //调用cancle()时,管道ctx.Done()会被关闭,从ctx.Done()中读数据会立即返回0值
return
case sig := <-c: //接收到终止信息
fmt.Printf("got signal %d\n", sig)
cancle() //取消,通知用到ctx的所有协程
return
}
}
}
func listenHttp(port int) {
defer wg.Done()
server := &http.Server{Addr: ":" + strconv.Itoa(port), Handler: nil} //在端口port上开启http服务
go func() {
for {
select {
case <-ctx.Done():
server.Close() //调用Close后才会释放端口
return
}
}
}()
if err := server.ListenAndServe(); err != nil { //如果不发生error,该行代码会一直阻塞,直到server.Close()
fmt.Println(err)
}
fmt.Printf("stop listen on port %d\n", port)
}
func main() {
//下面3个协程关联到了同一个context,通过cancle()可以通知彼此
go listenSignal()
go listenHttp(8080)
go listenHttp(8081)
wg.Wait() //等待3个子协程优雅退出后,main协程再退出
}
浙公网安备 33010602011771号