APearsoncorrelation-based adaptive variable grouping method for large-scale multi-objective optimization
Abstract
根据作者的实验观察,具有相似得到性能的变量在进化过程成中的趋势也是类似的。换而言之皮尔逊相关系数很大。
搜索方法
- Novel search methods: 设计新的交叉变异的算子。
- Divide-and-conquer based methods: 决策变量分析,典型的MOEA/DVA。
- Problem transformation-based methods: 典型的WOF。
IDEAL
如果能将变量分析和WOF结合起来。将相关性强的变量放在一起分组,然后一起优化。这样就达到了降维的目的,创行之处就是提出了新的分组方式。
传统的DVA(decision variables analysis)例如MOEA/DVA需要消耗大量的FE去计算相关性,性能很差。所以作者提出了根据皮尔逊相关系数的分组方法。
皮尔逊相关系数
补充一点概率统计知识点
给定种群(solution)大小N,经历T代。表达方式 {\(X^T_1, X^T_2,...,X^T_i,...,X^T_N\)},第i代的解表示方式 \(X^T_i\) = {\(x^T_{1,i},x^T_{2,i},...,x^T_{d,i},...x^T_{D,i}\)}.
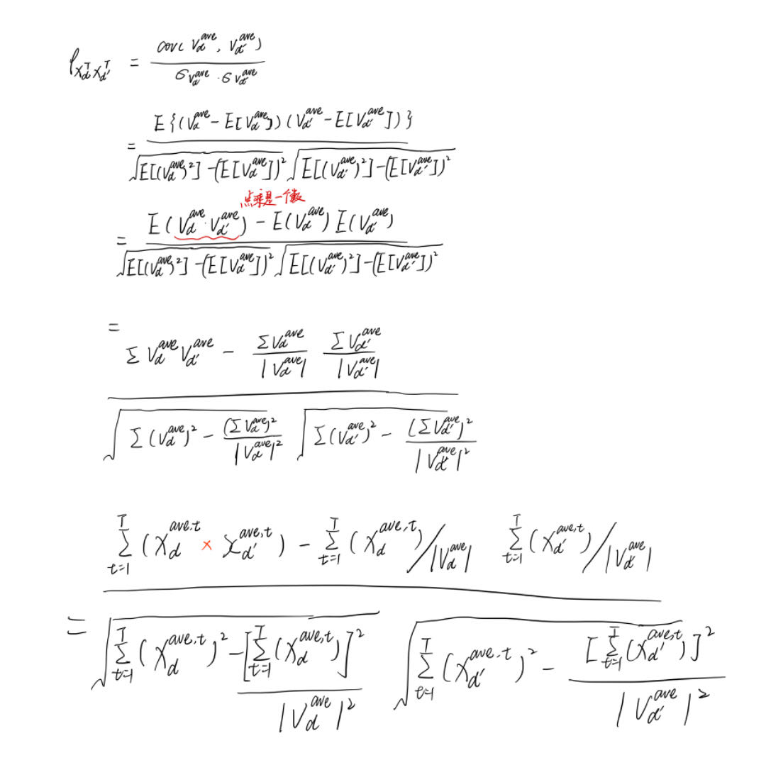
两个不同变量 \(x^T_d, x^T_{d'}\) 的皮尔逊相关系数计算公式如下:

\(\sigma V^{ave}_d\) 是\(V^{ave}_d\) 的标准差,计算公式如下:


这里和原文给的不一样。我觉得作者公式化简错了。
然后计算完变量之间的相关系数之后采用下面的公式分组:

算法部分:
Algorithm 1: WOF-PAG.

重点解释line 6: \(V_{pre}\) 存储的数据,列:表示变量下标。行:表示第几代。
具体内容如下图所示:

至于怎么采样解,我觉得应该是每一代在第一层里面根据拥挤度采样,然后算平均。
Algorithm 2: PAG.

解释:为什么是R+1 ?之前有R代,最后传入的q个解是最新的一代所以是R+1代一共。
line 2 - line 6:就是把q个解对应的\(x_1,...,x_D\) 分别加到\(V_ave\)的1,2,...,D的数组中。计算这一代各个变量的和。
接下来的就很好理解了。
line 11 - line 18:就是将 \(V_pre,V_ave\)的值传进\(V_cur\)
然后分组优化。
结束。
浙公网安备 33010602011771号