【线性代数】主变量、特解
消元法解Ax=0
消元过程中,方程通过加减消元本质上是线性变换,解是不会改变的。实际上,消元法改变了系数矩阵的列空间,而不改变系数矩阵的行空间。
行向量或者列向量之间的相关性可以在消元过程中表现出来。
                                                       
对 A 进行消元(消元不改变 A 的零空间,改变 A 的列空间)得
                                                             
其中, 1,2为主元(每个非零行的第一个非零元素就是主元), 1,2所在的列第一列、第三列称为主元列,第二列、第四列称为自由列。
主元的个数即为 A 的秩,即 rankA=2.
设 x=(x1,x2,x3,x4)^T,则 x1,x3称为主变量,x2,x4 称为自由变量,自由变量的个数为未知数的个数减去主元的个数(即减去 A 的秩),即若 A 是 m×n 维矩阵,则自由变量的个数为 n−rankA.
由于消元不改变方程组的解,因此求解 Ax=0就等价于求解 Ux=0.
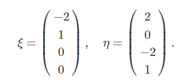
分别取自由变量 (x2,x4)=(1,0),  (x2,x4)=(0,1),可得 Ux=0的两个特解
                                                           
因此,零空间中的元素为:
                                                              ![]()
简化行阶梯形式
在简化行阶梯形式中,主元上下的元素都为 0,且主元都为 1.
下面我们进一步将矩阵 U 化为简化行阶梯形式 R
                                                      
也可以使用 MATLAB 命令 rref(A)
                                                              
求解 Ax=0就等价于 Rx=0
                    
                
                
            
        
浙公网安备 33010602011771号