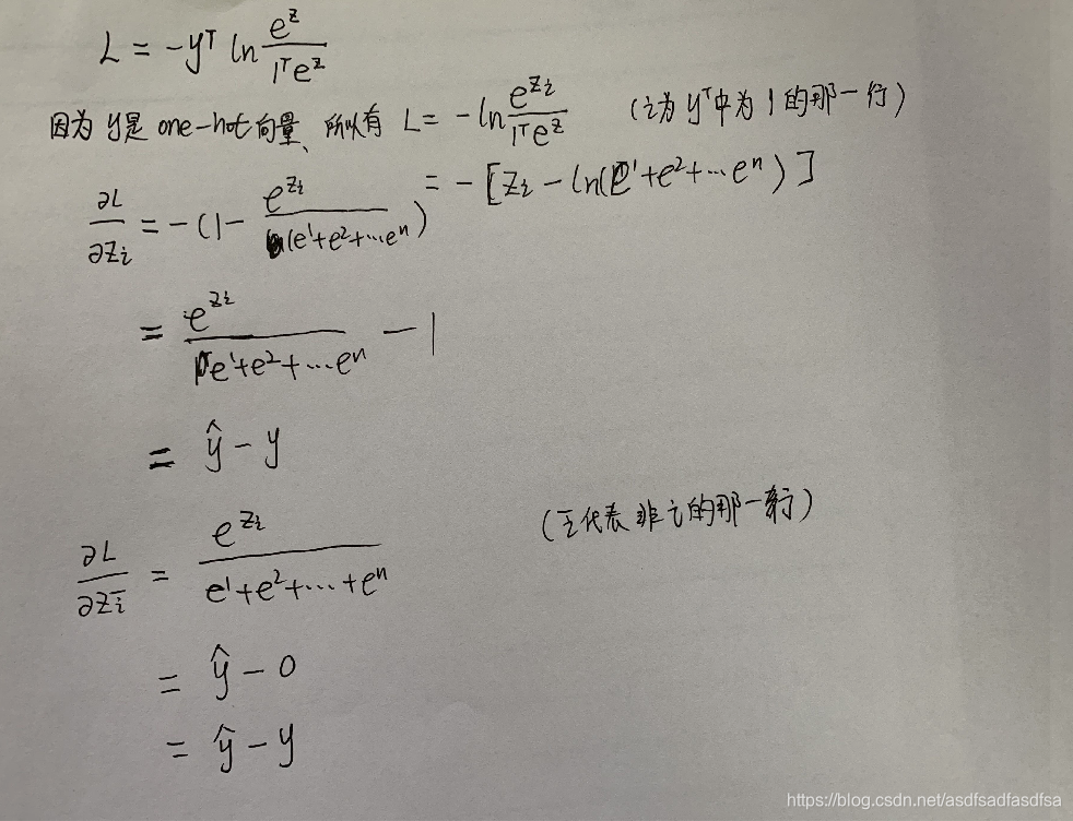
交叉熵损失函数
的每一维 表示的是网络给出的样本 x属于第 i类的概率。给定样本(x,y) ,其中
是one-hot向量.
对于分类问题,也就是
,并且使用交叉熵损失函数
时,输出层的误差项
到底是个什么形式
方法一:

根据法则
可得

所以, 
根据恒等式 ![]()
可得

所以. 其称之为输出误差项

方法二:

https://www.cnblogs.com/Determined22/p/6562546.html
交叉熵的解释: https://blog.csdn.net/u014380165/article/details/77284921

浙公网安备 33010602011771号