会员
众包
新闻
博问
闪存
赞助商
HarmonyOS
Chat2DB
所有博客
当前博客
我的博客
我的园子
账号设置
会员中心
简洁模式
...
退出登录
注册
登录
kuanleung
博客园
首页
新随笔
联系
管理
订阅
(24)tensorflow进阶--损失函数梯度
损失函数梯度
均方误差函数梯度
均方误差表达式:
梯度导数:
交叉熵函数梯度
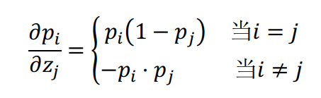
Softmax 梯度
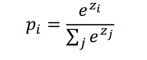
回顾 Softmax 函数的表达式:
Softmax 梯度为:
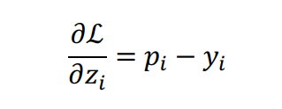
交叉熵梯度
考虑交叉熵损失函数的表达式:
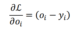
将log分解:
最终简化求出:
posted @
2020-09-30 15:09
kuanleung
阅读(
10
) 评论(
0
)
收藏
举报
来源
刷新页面
返回顶部
公告