UML用例图--01
目录
前言:
用例图是描述角色以及角色与用例之间的连接关系。说明的是谁要使用系统,以及他们使用该系统可以做些什么。一个用例图包含了多个模型元素,如系统、参与者和用例,并且显示了这些元素之间的各种关系,如泛化、关联和依赖。用例图是指由参与者、用例以及它们之间的关系构成的用于描述系统功能的视图。用例图是被称为参与者的外部用户所能观察到的系统功能的模型图,呈现了一些参与者和一些用例,以及它们之间的关系,主要用于对系统、子系统或类的功能行为进行建模。说白了,用例图就是描述用户能够通过系统进行什么样的操作,能够获得什么样的结果,即系统的外在表现。更加直观的理解就是,用户想在这个软件上实现什么样的功能。
关系:
关联:
它表示类与类之间的连接,它使得一个类知道另一个类的属性和方法。
关联可以用单向箭头表示单向关联,使用双箭头表示双向关联(不建议)。
关联是类与类,类与接口之间的一种比较强烈的关系,它不是临时性的,而是长期性的。
泛化:
就是通常理解的继承关系,子用例和父用例相似,但表现出更特别的行为;子用例将继承父用例的所有结构、行为和关系。子用例可以使用父用例的一段行为,也可以重载它。父用例通常是抽象的。
包含:
把一个比较复杂的用例所表示的功能,分解成一个非常小的用例功能。
实例:
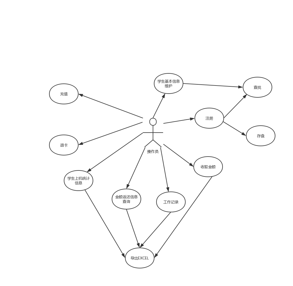
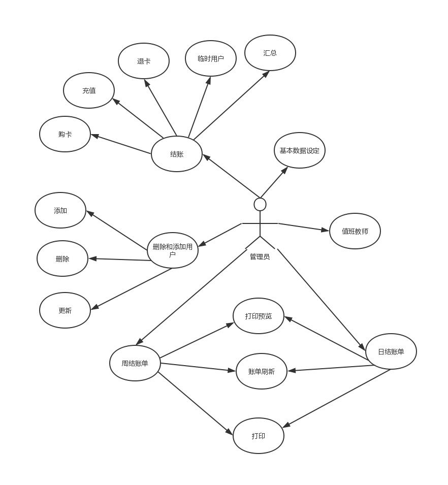
就以机房收费系统为例,请看下图。
一般用户:

操作员:

管理员:

用户关系:

    欢迎访问csdn的博客:
https://blog.csdn.net/kangshihang1998?spm=1010.2135.3001.5343
 
                    
                     
                    
                 
                    
                
 
                
            
         
         浙公网安备 33010602011771号
浙公网安备 33010602011771号