BTC-比特币分叉(区块链技术与应用)
产生分叉的情况
对区块链状态产生了分歧:state fork
如果两个节点差不多同时挖到一个区块,这两个区块都是挂在当前的区块上的,不同节点先收到的区块不同,就会各自沿着先收到的区块往下扩展,这种时候就会出现临时性的分叉,称为state fork,即由于对区块链当前的状态有意见分歧而产生的分叉。
分叉攻击(forking attack)也属于state fork,只不过这种意见分歧是人为造成的,这种情况也称为deliberate fork。
比特币的协议发生了改变:protocol fork
要修改比特币协议需要软件升级,在去中心化的系统中,没办法要求所有的结点都升级软件(因为它们根本不需要哪个中心化的节点提供服务)
假设大部分节点升级了软件,少部分节点没有升级(可能是没来得及升级,也可能是不同意协议的修改),这种分叉称为protocol fork,即对比特币协议产生了分歧,使用不同版本的协议而产生的分叉。
在protocol fork中,根据对协议修改的内容的不同,又可以分为硬分叉和软分叉。
- 硬分叉(hard fork)
如果对比特币协议增加一些新的特性,扩展一些新的功能,这时候没有升级协议的那些结点是不认可这些特性的(认为它们是非法的)。
硬分叉的一个例子就是比特币中的区块大小限制,比特币限制每个区块不超过1M,这样算下来大约最多能容纳4000个交易。而平均10分钟产生一个区块,算下来大约平均每秒只能写入7个交易,所以有的人就认为区块太小了,限制了交易上链的速度。
假设协议更新了,将区块大小的限制从1M提高到4M,假设大多节点更新了软件以支持这个协议。
注意:节点的“多数”和“少数”不是按照账户数目来算的,而是根据算力来算的,上面那句话是假设系统中拥有大多哈希算力的节点都更新了软件。
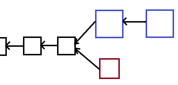
假设新节点挖出一个区块(下图中蓝色),这个区块是比较大的(因为新的协议只要不小于4M),但旧节点是不认可这个区块的,不会沿着这个区块继续往下挖,而是继续沿着之前的区块往下挖下一个区块(图中红色部分)
在这个分叉状态下,上面那个蓝色区块的分叉新节点认可,旧节点不认可;下面这个红色区块的分叉新旧节点都认可(因为新旧协议都符合,不超过1M一定不超过4M)。

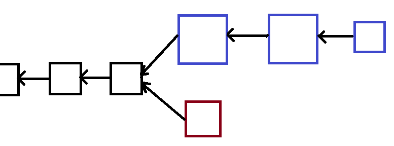
然而,假定大多节点都是新节点,即更新了软件支持新的协议,因为“大多数”即是其算力更强,新节点的新区块的分叉很快就比旧节点的分叉长了
对新节点而言,上下两条链都是合法链,但因为只会去扩展最长合法链,所以还是会沿着上面的链往下挖。因为只是约束了大小不到4M就可以,新节点也可能挖出一些大小不到1M的区块:

这样的区块是新旧节点都承认的,但上面这条链上有旧节点认为不合法的区块,所以旧节点始终不会去扩展这条链,还是继续沿着下面这条链往下挖:

因此,这样的分叉是永久性的,只要这些旧节点不更新软件,这样的分叉就不会消失。比特币网络中,会有部分很保守的人,像这样的协议更新势必会有一些节点不同意,产生硬分叉。
出现硬分叉之后,就相当于社区分裂了,出现了两条平行运行的链,两条链上的BTC也是不相干的,各挖各的矿。在某条链上的出块奖励,对于认可这条链为最长合法链的节点而言是有效的,对认可另一条链的则是无效的,而分裂之前产生的BTC则是在两条链上都认可的。
从这个意义上来看,硬分叉可以认为是产生了新的一种加密货币。
硬分叉之后,如果不采取任何措施,会产生一些问题:
因为两条链上的账户的私钥、公钥等都是一样的,仅仅是运行的协议不同。按理来说两条链上的账户余额应该不一样才对,但不采取措施时就不行。例如,在新链上有一笔交易B->C,那么对旧链而言这笔交易也是完全合法的,所以C可以把这笔交易发布出去,旧节点挖矿时就会把这个交易回放了。

这样就相当于B从一个钱包中拿出一定数量的币给C,导致B的另一个钱包中也转给了C同样数额(注意不是价值,如以太币ETC和硬分叉后的ETH)的币到相应的钱包中。
为了解决这个问题,可以在硬分叉后设置chain ID,来标识这两条链为两条独立的链。
- 软分叉
如果对比特币协议加了一些限制,使得原本某些合法的交易或区块,在限制后的新协议中变得不合法,那么形成的分叉是软分叉。
和前面学习硬分叉时候的例子相对应,假设协议更新将区块的限制大小变小了,从1M变成了0.5M(实际肯定不会这样做)。还是假设大多(算力的)节点是新节点,即已经更新了协议,区块限制为0.5M;少部分(算力的)节点是旧节点,仍然认定区块限制为1M。
这时,新节点挖出的区块,旧节点会认为是合法的(因为在1M以内);但是旧节点挖出的区块,新节点很可能不认为是合法的(因为很可能不在0.5M内):

因为新节点占了大部分算力,所以很可能先挖到某个区块,出现上图的情况。这时旧节点观察到上面那条是最长合法链,就会放弃自己的分叉,接着上面的链继续挖。
某个时刻,旧节点先于新节点挖出一个区块,将其上链:

这个区块大于0.5M,新节点不认,会继续扩展上一个合法的区块。这样旧节点刚刚挖的区块又成为orphan block了:

所以在这种情况下,会持续出现软分叉,只要旧节点不更新协议,挖出的区块就一直无法上链。相比硬分叉,软分叉即是非永久存在的分叉,只会临时存在一段时间。
实际当中可能出现软分叉的情况
- 给某些目前协议中没有规定的域增加新的含义
这种情况下即是当前协议中未限制的一些域,被赋予了新的规则。
一个例子就是铸币交易的CoinBase域,没人规定也没人检查。前面学习挖矿难度时,提到这个域可以作为extra nonce来使用,比如拿出前8个字节来和nonce一起调整,以增大挖矿的搜索空间。
CoinBase即便拿出了前8个字节,后面还是有很长的可调整空间。有人就提出将其作为UTXO的根哈希值,因为目前这个UTXO集合只是每个全节点自己在维护,目的就是快速查找,判断交易合法性,这个集合的内容没有写到区块链里。
前面最开始学过Merkle proof可以证明某个交易存在于某个区块中,那么如何证明某个账户A中有多少钱?全节点可以在本地的UTXO集合里算一下,即找到UTXO中所有转账给A的交易的输出,加在一起。
但如果是轻节点呢?例如手机上的比特币钱包。轻节点要去请求全节点,全节点返回结果给它,如何证明全节点返回给轻节点的是正确的呢?轻节点自己没有维护一个UTXO集合,所以是证明不出来的
因此有人提出将UTXO中的交易也组织成一个Merkle Tree,将其根哈希值写在铸币交易的CoinBase域里面,而铸币交易中的此内容也会随着影响交易的Merkle Tree的根哈希值,这在轻节点里是保存了的。所以在这种方式下就可以像Merkle proof的方式一样证明账户里有多少钱(需要提供UTXO的Merkle Tree对应位置的哈希)。
- 增加新的功能
前面学的P2SH(Pay to Script Hash)形式的交易脚本,最开始的比特币系统中是没有的,是后来通过软分叉的方式加进去的。
P2SH即在支付时输出不是收款人公钥的哈希,而是一个赎回脚本(Redeem Script)的哈希。
在赎回(把这些BTC花出去)时分为两阶段,第一阶段验证输入脚本中给出的赎回脚本,和前面交易的输出脚本中的赎回脚本的哈希对得上;第二阶段执行赎回脚本,验证输入脚本中给出的签名是合法的。
对于旧节点而言,并不知道赎回脚本的这些特性,旧节点只会做第一阶段的验证,即验证赎回脚本是不是正确的(和哈希对得上)。只有新节点才会把两阶段的验证都做完。
所以旧节点验证通过的交易,可能是第二阶段验证无法通过的P2SH形式的交易,在新节点上无法验证通过。而新节点验证通过的交易,旧节点也都验证通过。
总结
软分叉的特点
只要系统中半数以上(算力)的节点更新了软件,就不会出现永久性的分叉。这类分叉为软分叉。
硬分叉的特点
必须系统中所有(算力)的节点都更新了软件,才不会出现永久性的分叉。

浙公网安备 33010602011771号