环形列表(leetcode141 142)(快慢指针)
链接:https://leetcode-cn.com/problems/linked-list-cycle/
链接:https://leetcode-cn.com/problems/linked-list-cycle-ii/
题目
环形链表1
给定一个链表,判断链表中是否有环。
如果链表中有某个节点,可以通过连续跟踪 next 指针再次到达,则链表中存在环。 为了表示给定链表中的环,我们使用整数 pos 来表示链表尾连接到链表中的位置(索引从 0 开始)。 如果 pos 是 -1,则在该链表中没有环。注意:pos 不作为参数进行传递,仅仅是为了标识链表的实际情况。
如果链表中存在环,则返回 true 。 否则,返回 false 。
进阶:
你能用 O(1)(即,常量)内存解决此问题吗?
环形链表2
在题1基础上 返回进入环的第一个节点
用例
示例 1:

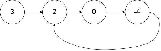
输入:head = [3,2,0,-4], pos = 1
输出:true
输出:返回索引为1的节点
解释:链表中有一个环,其尾部连接到第二个节点。
示例 2:

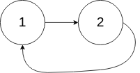
输入:head = [1,2], pos = 0
输出:true
输出:返回索引为0的节点
解释:链表中有一个环,其尾部连接到第一个节点。
示例 3:

输入:head = [1], pos = -1
输出:false
输出:返回null
解释:链表中没有环。
提示:
链表中节点的数目范围是 [0, 104]
-105 <= Node.val <= 105
pos 为 -1 或者链表中的一个 有效索引 。
思路
基础做法很简单 可以建立一个hash表记录每个遍历过的节点 比较是否经历过
class Solution {
public:
    ListNode *detectCycle(ListNode *head) {
        unordered_set<ListNode *> visited;
        while (head != nullptr) {
            if (visited.count(head)) {
                return head;
            }
            visited.insert(head);
            head = head->next;
        }
        return nullptr;
    }
};
使用快慢指针记录,快指针一次移动两次,慢指针移动一次 当快指针和慢指针相遇时说明有环
public class Solution {
    public boolean hasCycle(ListNode head) {
        if (head == null || head.next == null) {
            return false;
        }
        ListNode slow = head;
        ListNode fast = head.next;
        while (slow != fast) {
            if (fast == null || fast.next == null) {
                return false;
            }
            slow = slow.next;
            fast = fast.next.next;
        }
        return true;
    }
}
如果要找到入环节点

由题可知2*(a+b)=a+(n+1)*b+n*c 其中n为快慢指针相遇时 c围绕环绕过的全数
由于快指针是慢指针速度两倍 所以慢指针在环中第一圈必被追到
化简算式可知a=(n-1)b+n*c
从该式可知 慢指针某次到达入环节点走过的距离即为a的长
所以可以给头节点一个指针,当慢指针和新指针相遇时节点即为 答案
/**
 * Definition for singly-linked list.
 * struct ListNode {
 *     int val;
 *     ListNode *next;
 *     ListNode(int x) : val(x), next(NULL) {}
 * };
 */
class Solution {
public:
    ListNode *detectCycle(ListNode *head) {
        if(head==NULL||head->next==NULL) 
            return NULL;
        ListNode *fast=head,*slow=head;
        while(fast!=NULL)
        {
            fast=fast->next;
            if(fast==NULL)
                return NULL;
            fast=fast->next;
            slow=slow->next;
            if(slow==fast)
                break;
        }
        if(fast==NULL)
            return NULL;
        ListNode *ans=head;
        while(ans!=slow)
        {
            slow=slow->next;
            ans=ans->next;
        }
        return ans;
    }
   
};
 
                    
                
 
                
            
         
         浙公网安备 33010602011771号
浙公网安备 33010602011771号