leetcode 62. 不同路径 (回溯 动态规划 排列组合 )
链接:https://leetcode-cn.com/problems/unique-paths/
题目
一个机器人位于一个 m x n 网格的左上角 (起始点在下图中标记为 “Start” )。
机器人每次只能向下或者向右移动一步。机器人试图达到网格的右下角(在下图中标记为 “Finish” )。
问总共有多少条不同的路径?
示例
示例 1:

输入:m = 3, n = 7
输出:28
示例 2:
输入:m = 3, n = 2
输出:3
解释:
从左上角开始,总共有 3 条路径可以到达右下角。
- 向右 -> 向下 -> 向下
- 向下 -> 向下 -> 向右
- 向下 -> 向右 -> 向下
示例 3:
输入:m = 7, n = 3
输出:28
示例 4:
输入:m = 3, n = 3
输出:6
 
提示:
1 <= m, n <= 100
题目数据保证答案小于等于 2 * 109
思路
看到路径问题 最容易想到就是暴力搜索路径
因此可以简化为遍历搜索二叉树字节点数量问题 用dfs 递归遍历做
class Solution {
public:
    int uniquePaths(int m, int n) {
        return findpath(m,n,1,1);
    }
    int findpath(int m,int n,int x,int y)
    {
        if(x==m&&y==n)
            return 1;
        if(x+1<=m&&y+1<=n)
        {
            return findpath(m,n,x+1,y)+findpath(m,n,x,y+1);
        }
        return x==m? findpath(m,n,x,y+1):findpath(m,n,x+1,y);
    }
};
但是由于递归遍历是指数级的时间复杂度,因此超时
转换个思路,这其实是一道简单的动态规划题,问题可分解为求从起点到每一点的最大路径量
由于移动过程中只能向下或者向左移动,因此到达棋盘中某位置[i,j]的路径数为[i-1,j]位置和[i,j-1]位置的路径和(在棋盘边缘位置的路径数默认初始化为1)
遍历棋盘 更新dp数组
class Solution {
public:
    int uniquePaths(int m, int n) {
        vector<vector<int>>dp(m,vector<int>(n));
        for(int i=0;i<m||i<n;i++)
        {   if(i<m)
                dp[i][0]=1;
            if(i<n)
                dp[0][i]=1;
        }
        for(int i=1;i<m;i++)
        {
            for(int j=1;j<n;j++)
            {
                dp[i][j]=dp[i-1][j]+dp[i][j-1];
            }
        }
        return dp[m-1][n-1];
    }
};
实际上,本题是个排列组合问题,
起点到达终点的步数恒为m+n-2,问题转化为组合问题从m+n-2个移动中取m-1种组合
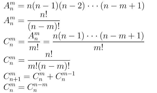
根据公式

class Solution {
public:
    int uniquePaths(int m, int n) {
        long long ans=1;
        for(int i=1,j=n;i<m;i++,j++)
        {
            ans=ans*j/i;
        }
        return ans;
    }
};
分子m+n-2 -> n-1累乘
分母1 ->m-1 累乘
注意:
- 排列组合中阶乘计算不能直接计算 会出现溢出 需要同时进行乘和除操作
- 数据类型使用long long
 
                    
                
 
                
            
         
         浙公网安备 33010602011771号
浙公网安备 33010602011771号