10道虐心的Java面试题,被面试官虐哭了,同事一题都没答对
有一天,小王告诉我,他去一家公司面试 Java 岗,结果被面试官虐哭了。整整 10 道 Java 面试题,小王一道也没答正确。
他沮丧地给我说,“哥,说点我的情况,你愿意听吗?我和一个女孩相处,女孩大我两岁,我非科班。本来打算国庆换一家薪水高点的,好确认关系。我经验不多,技术一般般,之前在一家外包公司,有一个甲方内推,我就鲁莽地把外包的工作辞了,结果没想到面试被虐了,我担心女朋友会不会因为我没有工作和我分手。”
听他这么一说,确实挺虐心的。后来我就安慰他,要他端正心态,先把这些面试题整明白,然后继续找工作,不要想太多。
借这个机会,我就把小王遇到的这 10 道面试题分享出来,希望能对其他小伙伴一些帮助。
第一题,下面这串代码打印的结果是什么
public class Test {
public static void main(String[] args) {
System.out.println(Math.min(Double.MIN_VALUE, 0.0d));
}
}
小王之所以没答对这道题,是因为他觉得 Double.MIN_VALUE 和 Integer.MIN_VALUE 一样,是个负数,应该小于 0.0d。
但事实上,Double. MIN_VALUE 和 Double. MAX_VALUE 一样,都是正数,Double. MIN_VALUE 的值是 2^(-1074),直接打印 Double. MIN_VALUE 的话,输出结果为 4.9E-324。
因此这道题的正确答案是输出 0.0。
第二题,在 try 块或者 catch 语句中执行 return 语句或者 System.exit() 会发生什么,finally 语句还会执行吗?
小王之所以没答对这道题,是因为在他的刻板印象中,finally 语句是无论如何都会执行的。
但事实上,在 try 块或者 catch 语句中执行 return 语句时,finally 语句会执行;在 try 块或者 catch 语句中执行 System.exit() 时,finally 语句不会执行。
public class Test1 {
public static void main(String[] args) {
returnTryExec();
returnCatchExec();
exitTryExec();
exitCatchExec();
}
public static int returnTryExec() {
try {
return 0;
} catch (Exception e) {
} finally {
System.out.println("finally returnTryExec");
return -1;
}
}
public static int returnCatchExec() {
try { } catch (Exception e) {
return 0;
} finally {
System.out.println("finally returnCatchExec");
return -1;
}
}
public static void exitTryExec() {
try {
System.exit(0);
} catch (Exception e) {
} finally {
System.out.println("finally exitTryExec");
}
}
public static void exitCatchExec() {
try { } catch (Exception e) {
System.exit(0);
} finally {
System.out.println("finally exitCatchExec");
}
}
}
程序执行结果如下所示:
finally returnTryExec
finally returnCatchExec
第三题,私有方法或者静态方法能被重写(override)吗?
小王之所以没答对这道题,是因为他不确定私有方法或者静态方法与重写之间的关系。
重写的两个方法名相同,方法参数的个数也相同;不过一个方法在父类中,另外一个在子类中。
class LaoWang{
public void write() {
System.out.println("老王写了一本《基督山伯爵》");
}
}
class XiaoWang extends LaoWang {
@Override
public void write() {
System.out.println("小王写了一本《茶花女》");
}
}
public class OverridingTest {
public static void main(String[] args) {
LaoWang wang = new XiaoWang();
wang.write();
}
}
父类 LaoWang 有一个 write() 方法(无参),方法体是写一本《基督山伯爵》;子类 XiaoWang 重写了父类的 write() 方法(无参),但方法体是写一本《茶花女》。
在 main 方法中,我们声明了一个类型为 LaoWang 的变量 wang。在编译期间,编译器会检查 LaoWang 类是否包含了 write() 方法,发现 LaoWang 类有,于是编译通过。在运行期间,new 了一个 XiaoWang 对象,并将其赋值给 wang,此时 Java 虚拟机知道 wang 引用的是 XiaoWang 对象,所以调用的是子类 XiaoWang 中的 write() 方法而不是父类 LaoWang 中的 write() 方法,因此输出结果为“小王写了一本《茶花女》”。
而私有方法对子类是不可见的,它仅在当前声明的类中可见,private 关键字满足了封装的最高级别要求。另外,Java 中的私有方法是通过编译期的静态绑定的方式绑定的,不依赖于特定引用变量所持有的对象类型。
方法重写适用于动态绑定,因此私有方法无法被重写。
class LaoWang{
public LaoWang() {
write();
read();
}
public void write() {
System.out.println("老王写了一本《基督山伯爵》");
}
private void read() {
System.out.println("老王在读《哈姆雷特》");
}
}
class XiaoWang extends LaoWang {
@Override
public void write() {
System.out.println("小王写了一本《茶花女》");
}
private void read() {
System.out.println("小王在读《威尼斯商人》");
}
}
public class PrivateOrrideTest {
public static void main(String[] args) {
LaoWang wang = new XiaoWang();
}
}
程序输出结果如下所示:
小王写了一本《茶花女》
老王在读《哈姆雷特》
在父类的构造方法中,分别调用了 write() 和 read() 方法,write() 方法是 public 的,可以被重写,因此执行了子类的 write() 方法,read() 方法是私有的,无法被重写,因此执行的仍然是父类的 read() 方法。
和私有方法类似,静态方法在编译期也是通过静态绑定的方式绑定的,不依赖于特定引用变量所持有的对象类型。方法重写适用于动态绑定,因此静态方法无法被重写。
public class StaticOrrideTest {
public static void main(String[] args) {
Laozi zi = new Xiaozi();
zi.write();
}
}
class Laozi{
public static void write() {
System.out.println("老子写了一本《基督山伯爵》");
}
}
class Xiaozi extends Laozi {
public static void write() {
System.out.println("小子写了一本《茶花女》");
}
}
程序输出结果如下所示:
老子写了一本《基督山伯爵》
引用变量 zi 的类型为 Laozi,所以 zi.write() 执行的是父类中的 write() 方法。
静态方法也叫类方法,直接通过类名就可以调用,通过对象调用的时候,IDE 会发出警告。
第四题,1.0/0.0 得到的结果是什么?会抛出异常吗,还是会出现编译错误?
小王之所以没答对这道题,是因为他没有深入研究过 double 类型和 int 类型的除法运算。
数字在 Java 中可以分为两种,一种是整形,一种是浮点型。不太清楚的小伙伴先去研究一下数据类型。
当浮点数除以 0 的时候,结果为 Infinity 或者 NaN。
System.out.println(1.0 / 0.0); // Infinity
System.out.println(0.0 / 0.0); // NaN
Infinity 的中文意思是无穷大,NaN 的中文意思是这不是一个数字(Not a Number)。
当整数除以 0 的时候(10 / 0),会抛出异常:
Exception in thread "main" java.lang.ArithmeticException: / by zero
at com.itwanger.eleven.ArithmeticOperator.main(ArithmeticOperator.java:32)
通常,我们在进行整数的除法运算时,需要先判断除数是否为 0,以免程序抛出异常。
第五题,Java 支持多重继承吗?
小王之所以没答对这道题,是因为他知道,通过接口可以达到多重继承的目的。
来定义两个接口,Fly 会飞,Run 会跑。
public interface Fly {
void fly();
}
public interface Run {
void run();
}
然后让一个类同时实现这两个接口。
public class Pig implements Fly,Run{
@Override
public void fly() {
System.out.println("会飞的猪");
}
@Override
public void run() {
System.out.println("会跑的猪");
}
}
但说到多重继承,讨论的关键字是 extends,而非 implements。
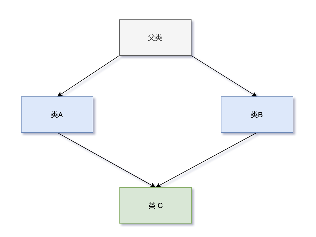
Java 只支持单一继承,是因为涉及到菱形问题。如果有两个类共同继承一个有特定方法的父类,那么该方法可能会被两个子类重写。然后,如果你决定同时继承这两个子类,那么在你调用该重写方法时,编译器不能识别你要调用哪个子类的方法。
类 C 同时继承了类 A 各类 B,类 C 的对象在调用类 A 各类 B 中重写的方法时,就不知道该调用类 A 的方法,还是类 B 的方法。
第六题,当在 HashMap 中放入一个已经存在的 key 时,会发生什么?
小王之所以没答对这道题,是因为他没有深入研究过 HashMap 的工作原理。
Hash,一般译作“散列”,也有直接音译为“哈希”的,这玩意什么意思呢?就是把任意长度的数据通过一种算法映射到固定长度的域上(散列值)。
再直观一点,就是对一串数据 wang 进行杂糅,输出另外一段固定长度的数据 er——作为数据 wang 的特征。我们通常用一串指纹来映射某一个人,别小瞧手指头那么大点的指纹,在你所处的范围内很难找出第二个和你相同的(人的散列算法也好厉害,有没有)。
对于任意两个不同的数据块,其散列值相同的可能性极小,也就是说,对于一个给定的数据块,找到和它散列值相同的数据块极为困难。再者,对于一个数据块,哪怕只改动它的一个比特位,其散列值的改动也会非常的大——这正是 Hash 存在的价值!
大家应该知道,HashMap 的底层数据结构是一个数组,通过 hash() 方法来确定下标。
static final int hash(Object key) {
int h;
return (key == null) ? 0 : (h = key.hashCode()) ^ (h >>> 16);
}
当我们放入一个键值对的时候,会先调用 hash() 方法对 key 进行哈希算法,如果 key 是相同的,那么哈希后的结果也是相同的,意味着数组中的下标是相同的,新放入的值就会覆盖原来的值。
第七题,下面这段代码将会打印出什么?
public class Test {
public static void main(String[] args) {
char[] chars = new char[]{'\u0097'};
String str = new String(chars);
byte[] bytes = str.getBytes();
System.out.println(Arrays.toString(bytes));
}
}
小王之所以没答对这道题,是因为他没有深入研究过字符编码方面的一些知识。
在这段程序中,我们通过一个字符数组创建了一个字符串对象,然后调用 String 类的 getByte() 方法得到字节数组并将其打印到控制台。
这道面试题考察的核心并不是最终的打印结果(结果是不确定的),而是字符编码。通常情况下,我们在调用 getBytes() 方法时,要指定编码,比如说 str.getBytes(StandardCharsets.UTF_8)。
当我们没有指定编码的时候,JDK 会调用平台默认的字符编码,而不同的操作系统,编码不尽相同的,bytes 的结果也就会不同。
当使用 UTF_8 时,结果为 -62, -105,当使用 GB2312 时,结果为 63。
第八题,当方法在父类中抛出 NullPointerException 时,是否可以使用抛出 RuntimeException 的方法来重写它?
小王之所以没答对这道题,是因为他被重写(overriding)和重载(overloading)的概念搞混了。
方法重写和方法重载时,方法名可以完全相同,但根本的不同在于方法重写时发生在运行时,方法重载时发生在编译时。
另外,方法重写和方法重载时的规则也不尽相同。在 Java 中,不能重写 private、static 和 final 方法,但可以重载它们。
我们来重点看一下方法重写时的规则:
1)方法签名必须相同,包括返回类型、参数的数量、参数的类型和参数的顺序。
2)重写后的方法不能抛出比父类中更高级别的异常。举例来说,如果父类中的方法抛出的是 IOException,那么子类中重写的方法不能抛出 Exception,可以是 IOException 的子类或者不抛出任何异常。这条规则只适用于可检查的异常。
可检查(checked)异常必须在源代码中显式地进行捕获处理,不检查(unchecked)异常就是所谓的运行时异常,比如说 NullPointerException、
ArrayIndexOutOfBoundsException 之类的,不会在编译器强制要求。
3)重写后的方法访问权限不能比父类中的方法低,比如说父类中的方法是 public,重写后的方法就不能是 protected。
public class ExceptionDemo {
public static void main(String[] args) {
Super s = new Child();
s.write();
}
}
class Super{
public void write() throws NullPointerException { }
}
class Child extends Super {
@Override
public void write() throws RuntimeException { }
}
RuntimeException 和 NullPointerException 属于不检查异常,所以本题的答案是可以的。如果是可检查异常的话,IDE 就会发出警告。
第九题,下面这段代码使用了 compareTo() 方法,有问题吗?
class Employee implements Comparable {
private int id;
@Override
public int compareTo(Object o) {
Employee emp = (Employee) o;
return this.id - emp.id;
}
}
小王之所以没答对这道题,是因为他想当然地认为 id 的都是正整数。
当我们需要按照一定的规则进行排序的时候,通常要实现 Comparable 接口,并实现 compareTo 方法,规则如下:
1)如果当前对象小于另外一个对象,则 compareTo 方法必须返回负数;如果当前对象大于另外一个对象,则必须返回正数;如果两个对象相等,则返回零。
2)通常来说,compareTo 方法必须和 equals 方法一致,如果两个对象通过 equals 方法判断的结果为 true,那么 compareTo 必须返回零。
不过,JDK 中有一个反例,就是 BigDecimal。
BigDecimal bd1 = new BigDecimal("2.0");
BigDecimal bd2 = new BigDecimal("2.00");
System.out.println("equals: " + bd1.equals(bd2));
System.out.println("compareTo: " + bd1.compareTo(bd2));
输出结果如下所示:
equals: false
compareTo: 0
这是因为 JDK 认为 2.0 和 2.00 的精度不一样,所以不能 equals,但值确实是相等的。
3)不能使用减法来比较整数值,因为减法的结果可能溢出。应该使用 Integer.compareTo() 来进行比较。如果你想通过减法操作来提高性能,必须得确保两个操作数是正整数,或者确保两者相差的值小于 Integer.MAX_VALUE。
public class CompareDemo {
public static void main(String[] args) {
List<Employee> list = new ArrayList<>();
list.add(new Employee(1));
list.add(new Employee(Integer.MIN_VALUE));
list.add(new Employee(Integer.MAX_VALUE));
Collections.sort(list);
System.out.println(list);
}
}
class Employee implements Comparable {
private int id;
public Employee(int id) {
this.id = id;
}
@Override
public int compareTo(Object o) {
Employee emp = (Employee) o;
return this.id - emp.id;
}
@Override
public String toString() {
return "Employee{" +
"id=" + id +
'}';
}
}
程序的输出结果如下所示:
[Employee{id=1}, Employee{id=2147483647}, Employee{id=-2147483648}]
排序就乱了。因为 Integer.MIN_VALUE - 1 变成了正数 2147483647。
第十题,StringBuffer 和 StringBuilder 之间有什么区别?
小王之所以没答对这道题,是因为他觉得这道题太简单了,结果说反了,大意了啊。
StringBuilder 是 JDK 1.5 之后引入的,它和 StringBuffer 最大的区别就在于它的一系列方法都是非同步的。
好了,以上就是小王这次面试遇到的 10 道虐心的面试题,本来最后一道是送分题,结果大意说反了,让小王更加懊恼。年后是跳槽的高峰期,有打算的小伙伴要提前准备了,希望大家都能够顺利面上心仪的岗位。

浙公网安备 33010602011771号