傅里叶变换的简单理解
一,信号与系统学的是什么?
信号与系统两个基本的概念:信号可以表示成有若干变量的函数,而系统则对信号作出响应,产生新的信号。这个科目研究的就是这一大类问题。
例如:在电路系统中,电源电压和电流可以当成随时间变换的函数,而负载上的电压和电流可以看作是电源电压电流经过整个电路系统后输出的响应。
实现信号的分析的方法是傅里叶分析方法,而在实际生活中,最常遇到的就是线性时不变系统(LTI)。我们就以这两个点为重点,入门信号与系统。
二,信号与系统的两大部分
2.1 信号
2.1.1 信号分类
连续时间信号:电路中电源电压随时间变化的信号,可以表示为函数v(t),或者声音信号,声压随时间变化的波形也可以作为一个信号。这些信号在时间上是连续的,看起来像一条线。
离散时间信号:如股票市场指数随日期的变化;人口数量随年份的变化;这些信号在时间是离散的,是一个个点组成。
以t表示连续时间,n表示离散时间。它们大部分情况下是相同的。本章主要以连续时间信号为重点。
2.1.2 重要的基本信号
下面的三种信号在接下来的学习中会经常使用,先熟悉他们。
1,复指数信号
复指数信号是一个周期信号,频率为w。

2,冲激信号

3,阶跃信号

以及他们的关系:

2.2 系统
系统就是一个黑盒子,包括输入和输出。一般的,可以用微分方程来表示一个系统。
2.2.1,两个重要的性质
1,线性叠加:
假设输入x1(t),输出y1(t);和输入x2(t),输出y2(t);
具有线性叠加性质的系统有如下:
输入x1(t)+x2(t),输出y1(t)+y2(t);
2,时不变性:
系统的性质不会随着时间而改变。
即输入x(t),输出y(t),当输入产生一个时延x(t-1),那么输出也会是y(t-1).
2.2.2 线性时不变系统卷积和
为了引入信号线性组合的概念,我们先从离散信号入手,一个离散信号如下:

我们把这个离散信号看成是以下一个个无数的冲激函数的叠加:

这些冲激函数可以表示为:



...........
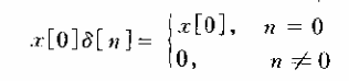
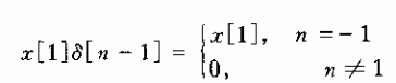
将上式在全时域上求和,就能得到原函数x[n],即:
x[n] = .......+x[1] δ[n-1] + x[2] δ[n-2] + x[3] δ[n-3]+...;
使用求和符号整理得:

这个方法的思路就是将原信号表示成无数个冲激函数的叠加
为何要将原信号分解成冲激信号呢?这是因为冲激信号是一个非常简单的信号,δ[n]经过系统后得到输出y[n] = h[n],h[n]称为冲激响应,也是一个相对简单的信号。利用线性时不变系统的两个性质,线性和时不变性,可得:

可以发现,只需要将δ[n-k],替换成响应h[n-k],就能表示原信号经过系统后的总响应。这就是线性时不变系统的特性,也是本章最基本的思想。shang
与离散时间相同,连续时间也可以以同样的方法,只需要将求和变成积分,这种方法的思想就是分解,组合。(此处用时间符号代替k)


将上式表示成比较简单的形式:
y(t) = x(t) * h(t)
这个就是卷积积分。
三,从傅里叶级数开始
为了更好的理解傅里叶变换,我们先从更容易掌握的傅里叶级数开始
这一节,我们暂时只讨论周期信号。
想想在上一节,我们介绍的复指数信号ejwt,这就是一个典型的周期信号。介绍这个信号是因为一个复指数信号经过一个线性时不变系统后,输出仍然是一个复指数信号。也就是:
ejwt经过LTI系统后输出为:H(jw) ejwt;

再回忆上一节我们应用冲激信号的情况。既然复指数信号经过LTI系统只在幅度上变化,那么能否利用复指数信号的这个特性,去简化复杂的信号。答案是ok,思路与上一节一样,将原信号分解为成谐波关系的复指数信号的组合。
若一个信号可以表示成复指数信号的线性组合。即:

(其中ak称为傅里叶级数,ejkwt是成谐波关系的复指数信号。我们知道kw就是复指数信号的频率,上式表明,输入信号由不同频率的复指数信号组合成,这些频率成谐波关系。)
那么该信号经过系统的输出可表示为:

其中H(jw)为:

这样就使得输出的计算变得简单了。
在上式x(t)中,傅里叶级数ak是我们需要求得的,下面推导ak的计算方法:

到此,若给我们一个周期信号,我们就能根据上式求出其傅里叶级数ak,继而得到原信号的傅里叶展开式,再给我们系统的频率响应H(jw),利用复指数信号的性质,就能求出输出信号。从原信号到傅里叶展开式的目的也就是为了输出信号计算的方便。此时的ak也可以称为频谱系数。
终于完成傅里叶级数的学习,现在让我们欣赏一下傅里叶级数的美,放松一下:
四,傅里叶变换
有了傅里叶级数的铺垫,傅里叶变换也就顺水推舟。
4.1 非周期信号傅里叶变换推导
上一节讨论的信号局限于周期信号,当信号是非周期信号时,我们又该如何求ak呢。一个思路是尝试利用上一节学到的经验,将非周期信号看成周期信号来处理,下面开始推导:
假设有一个非周期信号x(t),她具有有限的持续时间,也就是说在|t|>T1,时,x(t)为0。如图:

我们以x(t)为一个周期,构造一个周期信号g(t),如图,这样我们就能以处理周期信号的方式进行:

还记得上一节么,我们可以得到以下方程组:

由于在(-T/2,T/2)内,x(t) == g(t),故上式②可改写成:

同时,由于x(t)在(-T/2,T/2)外为0,故积分区间可修改为全时域:

我们把T移到等式左边,得到Tak的表达式,定义X(jw)=Tak为x(t)的傅里叶变换:

此时我们再用X(jw)来表示周期信号g(t):

由于T=2Π/w0,所以上式可修改为:

当T趋近无穷大时,结合图像可得:g(t) == x(t),同时等式右边的求和变成积分,这点我们从图像上来证明:
上式求和式中的每一项的面积S = X(jkw0t)ejkwtw0;当T趋向无穷大时,求和就会过渡到积分,w0也会变成dw.

此时x(t)就能表示为:

这就是傅里叶逆变换,从这个表达式可以看出,非周期x(t)可以表示成复指数信号的线性组合,与周期信号不同的是,这些复指数信号在频率w上的连续的,而不呈现谐波关系。同时,也可以发现傅里叶变换X(jw)与ak具有相似性,这里我们也称X(jw)为信号的频谱,她表示某频率分量的复指数信号在原信号中所占的比重。
4.2 用傅里叶变换求出输出
现在我们知道了原信号的傅里叶变换X(jw),我们如何继续求系统的输出呢?
在第三节的时候,我们计算过,一个单位冲激响应为h(t)的系统,对复指数信号ejwt的响应为H(jw)ejwt。由线性叠加原理可得输出信号为:

从图像上理解傅里叶变换,也是一种不错的途径:形象展示傅里叶变换
最后献上一张关于傅里叶变换的图片,左边黄色是时域的波形,右边深蓝的是频域的波形,中间浅蓝色就是不同频率分量的复指数信号。

浙公网安备 33010602011771号