特征工程的归一化和标准化
在深度学习中,对训练数据进行标准化和归一化处理,可以加快模型的收敛速度,而且更重要的是在一定程度上缓解了深度网络中梯度消失的问题,从而使深层网络的训练更加容易。
归一化

归一化的作用是统一样本的统计分布性。把数据样本范围压缩至某个范围之间。
主要是为了方便处理不同的数据,因为将数据范围压缩至某个范围之内,可以使得处理过程更加便捷、快速, 并且可以消除不同数据之间量纲单位的影响,提高不同数据之间的。
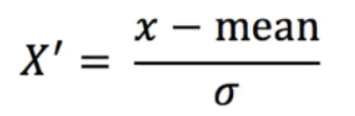
标准化

标准化的作用是将数据按比例缩放,使之落入一个特定区间, 更符合标准正态分布。
联系与区别
都能取消由于量纲不同所引起的误差;都是一种线性变换;都是对向量按照比例压缩再进行平移。
归一化是将样本的特征值转换到同一量纲下,把数据映射到哪个区间,仅由特征值的极值决定;标准化是为了方便数据的下一步处理,而进行的数据缩放等变换,并不是为了方便与其他数据一同处理或比较,比如数据经过z-scores方法,将其转化为标准正态分布,使其和整体样本相关,每个样本点都能对标准化产生影响。
浙公网安备 33010602011771号