软考知识点7
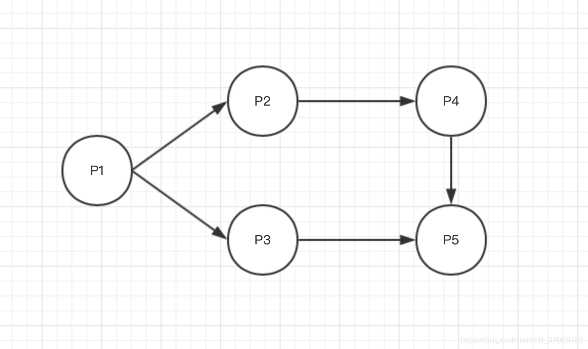
(2016年上半年例题) 进程P1、P2、P3、P4和P5的前趋图如下图所示:
若用PV操作控制进程P1、P2、P3、P4和P5的并发执行过程,则需要设置5个信号量S1、S2、S3、S4和S5,且信号量S1~S5的初值都等于零。下图中a和b处应分别填入___;c和d处应分别填入___;e和f处应分别填入___。

解答:

根据前趋图,P1进程执行完需要通知P2和P3进程,所以需要利用V(S1)和V(S2)操作通知P2和P3进程,所以空a应该填V(S1)和V(S2),P2进程执行完要通知P4进程,所以空b应该填V(S3)。P3进程运行前需要等待P1进程的结果,所以执行程序前要先利用1个P操作,所以空c应该填P(S2),而P3进程运行结束需要利用一个V操作通知P5进程,所以空d应该填V(S4)。P4进程执行结束需要利用一个V操作通知P5进程,所以空e处应该填V(S5),P5进程执行前需要等待P3和P4进程的结果,所以空f处需要两个P操作,那应该填P(S4)和P(S5)。
原文链接:https://blog.csdn.net/m0_37063785/article/details/88802580
浙公网安备 33010602011771号